Kamboh Lab Genomics of Complex Human Disease

Research

Our lab has made substantial contributions to the field through publications in high-impact journals such as Alzheimer’s & Dementia, Neurobiology of Aging, Journal of Alzheimer’s Disease, Molecular Psychiatry, among others.

These publications highlight our core research focus on the genetic architecture of complex diseases, particularly Alzheimer’s disease and related dementias. Below is a list of over 200 publications generated by our lab.

Highlighted

Search for the elusive haplotype of the APOE polymorphism associated with Alzheimer s disease
Search for the elusive haplotype of the APOE polymorphism associated with Alzheimer’s disease
Asma Naseer Cheema, Kang-Hsien Fan, Elizabeth Lawrence, Narges Zafari, Ruyu Shi, …, Vibha Acharya, Alayna Jean Holderman, Annie Bedison, Eleanor Feingold, M. Ilyas Kamboh
Scientific Reports  ·  15 May 2025  ·  doi:10.1038/s41598-025-01263-0
Sex stratified genome wide meta analysis identifies novel loci for cognitive decline in older adults
Sex‐stratified genome‐wide meta‐analysis identifies novel loci for cognitive decline in older adults
Vibha Acharya, Kang‐Hsien Fan, Beth E. Snitz, Mary Ganguli, Steven T. DeKosky, Oscar L. Lopez, Eleanor Feingold, M. Ilyas Kamboh
Alzheimer's & Dementia  ·  01 Mar 2025  ·  doi:10.1002/alz.14461

All

2026

Molecular characterization and vaccine matching of foot-and-mouth disease virus in Khyber Pakhtunkhwa, Pakistan
Molecular characterization and vaccine matching of foot-and-mouth disease virus in Khyber Pakhtunkhwa, Pakistan
Muhammad Sajid, Muhammad Ali Syed, Abdul Kabir, Asghar Ali Kamboh, Muhammad Mumtaz Khan
Molecular Biology Reports  ·  02 Feb 2026  ·  doi:10.1007/s11033-026-11520-8
The associations between sedentary behavior and cognition in a population cohort of older adults
The associations between sedentary behavior and cognition in a population cohort of older adults
Marissa A Gogniat, Yueting Wang, Chung-Chou H Chang, Joseph Storey, Erin Jacobsen, …, Amy Carper, M Ilyas Kamboh, Ann D Cohen, Mary Ganguli, Beth Snitz
Journal of Alzheimer’s Disease  ·  22 Jan 2026  ·  doi:10.1177/13872877251410964
Hearing loss in the young-old is associated with increased risk for Alzheimer s disease and vascular dementia
Hearing loss in the young-old is associated with increased risk for Alzheimer's disease and vascular dementia
Lily Francis, Alexa Beiser, Sophia Lu, Sharon G Kujawa, Nancy Heard-Costa, …, Rebecca Bernal, D Bradley Welling, Richard L Alcabes, Jayandra J Himali, Sudha Seshadri
Journal of Alzheimer’s Disease  ·  20 Jan 2026  ·  doi:10.1177/13872877251407211

2025

Plasma biomarkers, brain amyloid beta pathology, and cortical thickness in a non Hispanic White and Black African American middle aged community cohort: The HCP CoBRA study
Plasma biomarkers, brain amyloid‐beta pathology, and cortical thickness in a non‐Hispanic White and Black/African American middle‐aged community cohort: The HCP‐CoBRA study
Shayna T. Brodman, Nicholas Heaton, Gallen Triana‐Baltzer, Xuemei Zeng, Alexandra Gogola, …, Oscar L. Lopez, Hartmuth Kolb, Rebecca A. Deek, Ann D. Cohen, Thomas K. Karikari
Alzheimer's & Dementia  ·  01 Dec 2025  ·  doi:10.1002/alz.70985
Longitudinal Trajectories of Cognitive Impairment: Predictors of Tau and Amyloid Resistance amp; Resilience
Longitudinal Trajectories of Cognitive Impairment: Predictors of Tau and Amyloid Resistance & Resilience
Daniel Willie‐Permor, Oscar L Lopez, Steven E. Reis, Anum Saeed, Beth E. Snitz, …, Victor L Villemagne, M. Ilyas Kamboh, Neelesh Nadkarni, C. Elizabeth Shaaban, Ann D Cohen
Alzheimer's & Dementia  ·  01 Dec 2025  ·  doi:10.1002/alz70862_110112
Genome wide association studies of TDP 43 proteinopathy and hippocampal sclerosis reveal shared genetic associations with APOE and TMEM106B
Genome‐wide association studies of TDP‐43 proteinopathy and hippocampal sclerosis reveal shared genetic associations with APOE and TMEM106B
Dana Godrich, Jeremy Pasteris, Eden R. Martin, Brian Kunkle, Adam C. Naj, …, William K. Scott, Tatjana Rundek, Walter Kukull, Thomas Montine, Gary W. Beecham
Alzheimer's & Dementia  ·  01 Nov 2025  ·  doi:10.1002/alz.70760
Alzheimer s disease multi ancestry genome wide interaction and stratified study with smoking
Alzheimer's disease multi‐ancestry genome‐wide interaction and stratified study with smoking
Ryan Dacey, Lei Hou, Ashita Gurnani, Xudong Han, Mackenzie R. Paller‐Moore, …, Gerard D. Schellenberg, Richard Mayeux, Kathryn L. Lunetta, Lindsay A. Farrer, Jesse Mez
Alzheimer's & Dementia  ·  01 Nov 2025  ·  doi:10.1002/alz.70922
Association between 24 h time use composition and brain age: The IGNITE study
Association between 24‐h time‐use composition and brain age: The IGNITE study
Audrey M. Collins, Maddison L. Mellow, Lu Wan, Ashleigh E. Smith, Lauren E. Oberlin, …, Charles H. Hillman, Eric D. Vidoni, Jeffrey M. Burns, Edward McAuley, Kirk I. Erickson
Alzheimer's & Dementia: Translational Research & Clinical Interventions  ·  01 Oct 2025  ·  doi:10.1002/trc2.70187
Association Between the Genetic Risk for Attention-Deficit Hyperactivity Disorder and Cognitive Function in Older Age: The MYHAT Population-Based Study
Association Between the Genetic Risk for Attention-Deficit/Hyperactivity Disorder and Cognitive Function in Older Age: The MYHAT Population-Based Study
Douglas Teixeira Leffa, Yingjin Zhang, Yueting Wang, Esther G. Teverovsky, Erin Jacobsen, …, Chung-Chou H. Chang, Beth E. Snitz, Brooke S.G. Molina, Tharick A. Pascoal, Mary Ganguli
The American Journal of Geriatric Psychiatry  ·  01 Oct 2025  ·  doi:10.1016/j.jagp.2025.10.005
Plasma biomarkers identify brain ATN abnormalities in a dementia-free population-based cohort
Plasma biomarkers identify brain ATN abnormalities in a dementia-free population-based cohort
Menayit Tamrat Dresse, Pamela C. L. Ferreira, Akshay Prasadan, Jihui L. Diaz, Xuemei Zeng, …, Tharick A. Pascoal, Mary Ganguli, Beth E. Snitz, C. Elizabeth Shaaban, Thomas K. Karikari
Alzheimer's Research & Therapy  ·  25 Jul 2025  ·  doi:10.1186/s13195-025-01803-w
APOE Genotype-Stratified Meta-Analysis of Cognitive Decline Reveals Novel Loci for Language and Global Cognitive Function in Older Adults
APOE Genotype-Stratified Meta-Analysis of Cognitive Decline Reveals Novel Loci for Language and Global Cognitive Function in Older Adults
Vibha Acharya, Kang-Hsien Fan, Beth E. Snitz, Mary Ganguli, Steven T. DeKosky, Oscar L. Lopez, Eleanor Feingold, M. Ilyas Kamboh
International Journal of Molecular Sciences  ·  19 Jul 2025  ·  doi:10.3390/ijms26146940
Multi-ancestry genome-wide meta-analysis of 56,241 individuals identifies known and novel cross-population and ancestry-specific associations as novel risk loci for Alzheimer s disease
Multi-ancestry genome-wide meta-analysis of 56,241 individuals identifies known and novel cross-population and ancestry-specific associations as novel risk loci for Alzheimer’s disease
Farid Rajabli, Penelope Benchek, Giuseppe Tosto, Nicholas Kushch, Jin Sha, …, Margaret A. Pericak-Vance, Gerard D. Schellenberg, Gyungah R. Jun, Christiane Reitz, Adam C. Naj
Genome Biology  ·  17 Jul 2025  ·  doi:10.1186/s13059-025-03564-z
Plasma biomarkers, brain amyloid pathology, and cortical thickness in a diverse middle-aged community cohort: the HCP-CoBRA study
Plasma biomarkers, brain amyloid pathology, and cortical thickness in a diverse middle-aged community cohort: the HCP-CoBRA study
Shayna T. Brodman, Nicholas Heaton, Gallen Triana-Baltzer, Xuemei Zeng, Alexandra Gogola, …, Oscar L. Lopez, Hartmuth Kolb, Rebecca A. Deek, Ann D. Cohen, Thomas K. Karikari
openRxiv  ·  11 Jul 2025  ·  doi:10.1101/2025.07.10.25331312
Genome wide association analyses identify candidate loci for amyloid imaging and plasma biomarkers in adults with Down syndrome
Genome‐wide association analyses identify candidate loci for amyloid imaging and plasma biomarkers in adults with Down syndrome
M. Muaaz Aslam, Lam‐Ha T. Dang, Ruyu Shi, Kang‐Hsien Fan, Asma Naseer Cheema, …, Elizabeth Head, Mark E. Mapstone, Joseph H. Lee, Carlos Cruchaga, M. Ilyas Kamboh
Alzheimer's & Dementia  ·  01 Jul 2025  ·  doi:10.1002/alz.70358
Genome wide association of tau neuroimaging and plasma biomarkers in adults with Down syndrome
Genome‐wide association of tau neuroimaging and plasma biomarkers in adults with Down syndrome
Kang‐Hsien Fan, Ruyu Shi, Asma Naseer Cheema, Lam‐Ha T. Dang, Laura Xicota, …, Elizabeth Head, Mark E. Mapstone, Carlos Cruchaga, Joseph H. Lee, M. Ilyas Kamboh
Alzheimer's & Dementia  ·  01 Jul 2025  ·  doi:10.1002/alz.70398
Pittsburgh plasma p tau217: Classification accuracies for autosomal dominant and sporadic Alzheimer s disease in the community
Pittsburgh plasma p‐tau217: Classification accuracies for autosomal dominant and sporadic Alzheimer's disease in the community
Anuradha Sehrawat, Xuemei Zeng, Eric E. Abrahamson, Rebecca A. Deek, Alexandra Gogola, …, Oscar L. Lopez, Milos D. Ikonomovic, Beth E. Snitz, Ann D. Cohen, Thomas K. Karikari
Alzheimer's & Dementia  ·  01 Jul 2025  ·  doi:10.1002/alz.70409
Search for the elusive haplotype of the APOE polymorphism associated with Alzheimer s disease
Search for the elusive haplotype of the APOE polymorphism associated with Alzheimer’s disease
Asma Naseer Cheema, Kang-Hsien Fan, Elizabeth Lawrence, Narges Zafari, Ruyu Shi, …, Vibha Acharya, Alayna Jean Holderman, Annie Bedison, Eleanor Feingold, M. Ilyas Kamboh
Scientific Reports  ·  15 May 2025  ·  doi:10.1038/s41598-025-01263-0
Lifetime estrogen exposure and domain-specific cognitive performance: results from the IGNITE study
Lifetime estrogen exposure and domain-specific cognitive performance: results from the IGNITE study
Amber Watts, Shannon Donofry, Hayley Ripperger, Nicole M. Eklund, Lu Wan, …, Edward McAuley, Charles H. Hillman, Arthur F. Kramer, M. Ilyas Kamboh, Kirk I. Erickson
Frontiers in Aging Neuroscience  ·  03 Apr 2025  ·  doi:10.3389/fnagi.2025.1524474
24-Hour time use and cognitive performance in late adulthood: results from the Investigating Gains in Neurocognition in an Intervention Trial of Exercise IGNITE study
24-Hour time use and cognitive performance in late adulthood: results from the Investigating Gains in Neurocognition in an Intervention Trial of Exercise (IGNITE) study
Audrey M Collins, Maddison L Mellow, Ashleigh E Smith, Lu Wan, Neha P Gothe, …, Charles H Hillman, Eric D Vidoni, Jeffrey M Burns, Edward McAuley, Kirk I Erickson
Age and Ageing  ·  28 Mar 2025  ·  doi:10.1093/ageing/afaf072
Blood biomarkers differentiate AD related versus non AD related cognitive deficits
Blood biomarkers differentiate AD‐related versus non‐AD‐related cognitive deficits
Kelsey R. Sewell, Lauren E. Oberlin, Thomas K. Karikari, Marcos Olvera‐Rojas, Lu Wan, …, Jeffrey M. Burns, Charles H. Hillman, Eric D. Vidoni, Chaeryon Kang, Kirk I. Erickson
Alzheimer's & Dementia  ·  01 Mar 2025  ·  doi:10.1002/alz.14619
Sex stratified genome wide meta analysis identifies novel loci for cognitive decline in older adults
Sex‐stratified genome‐wide meta‐analysis identifies novel loci for cognitive decline in older adults
Vibha Acharya, Kang‐Hsien Fan, Beth E. Snitz, Mary Ganguli, Steven T. DeKosky, Oscar L. Lopez, Eleanor Feingold, M. Ilyas Kamboh
Alzheimer's & Dementia  ·  01 Mar 2025  ·  doi:10.1002/alz.14461
Whole-genome sequencing reveals the impact of lipid pathway and i APOE i genotype on brain amyloidosis
Whole-genome sequencing reveals the impact of lipid pathway and APOE genotype on brain amyloidosis
Maulikkumar Patel, Cyril Pottier, Kang-Hsien Fan, Arda Cetin, Matthew Johnson, …, Howard Aizenstein, Oscar L Lopez, John C Morris, M Ilyas Kamboh, Carlos Cruchaga
Human Molecular Genetics  ·  10 Feb 2025  ·  doi:10.1093/hmg/ddaf017
Novel plasma biomarkers of amyloid plaque pathology and cortical thickness: Evaluation of the NULISA targeted proteomic platform in an ethnically diverse cohort
Novel plasma biomarkers of amyloid plaque pathology and cortical thickness: Evaluation of the NULISA targeted proteomic platform in an ethnically diverse cohort
Xuemei Zeng, Anuradha Sehrawat, Tara K. Lafferty, Yijun Chen, Mahika Rawat, M. Ilyas Kamboh, Victor L. Villemagne, Oscar L. Lopez, Ann D. Cohen, Thomas K. Karikari
Alzheimer's & Dementia  ·  01 Feb 2025  ·  doi:10.1002/alz.14535
Association of Novel Pathogenic Variant p. Ile366Asn in PLA2G6 Gene with Infantile Neuroaxonal Dystrophy
Association of Novel Pathogenic Variant (p. Ile366Asn) in PLA2G6 Gene with Infantile Neuroaxonal Dystrophy
Asma Naseer Cheema, Ruyu Shi, M. Ilyas Kamboh
International Journal of Molecular Sciences  ·  03 Jan 2025  ·  doi:10.3390/ijms26010352
Lifespan Estrogen Exposure and Neuroprotection: Timing of Hormone Therapies Modulates Brain Structure in Older Women
Lifespan Estrogen Exposure and Neuroprotection: Timing of Hormone Therapies Modulates Brain Structure in Older Women
Robyn Honea, Amber Watts, Shannon D. Donofry, Cristina Molina-Hidalgo, Hayley S. Ripperger, …, Edward McAuley, Charles H. Hillman, Anna L. Marsland, M. Ilyas Kamboh, Kirk Erickson
Elsevier BV  ·  01 Jan 2025  ·  doi:10.2139/ssrn.5375257

2024

Multimodal neuroimaging biomarkers and subtle cognitive decline in a population-based cohort without dementia
Multimodal neuroimaging biomarkers and subtle cognitive decline in a population-based cohort without dementia
Andrea M Weinstein, Fang Fang, Chung-Chou H Chang, Ann Cohen, Brian J Lopresti, …, Marissa A Gogniat, Minjie Wu, Thomas K Karikari, Mary Ganguli, Beth E Snitz
Journal of Alzheimer’s Disease  ·  19 Dec 2024  ·  doi:10.1177/13872877241303926
Cardiorespiratory fitness is associated with cognitive function in late adulthood: baseline findings from the IGNITE study
Cardiorespiratory fitness is associated with cognitive function in late adulthood: baseline findings from the IGNITE study
Lauren E Oberlin, Lu Wan, Chaeryon Kang, Allison Romano, Sarah Aghjayan, …, Eric D Vidoni, Edward McAuley, M Ilyas Kamboh, John M Jakicic, Kirk I Erickson
British Journal of Sports Medicine  ·  10 Dec 2024  ·  doi:10.1136/bjsports-2024-108257
Influence of medical conditions on the diagnostic accuracy of plasma p tau217 and p tau217 Aβ42
Influence of medical conditions on the diagnostic accuracy of plasma p‐tau217 and p‐tau217/Aβ42
Marcos Olvera‐Rojas, Kelsey R. Sewell, Thomas K. Karikari, Haiqing Huang, Lauren E. Oberlin, …, Anuradha Sehrawat, John M. Jakicic, Lu Wan, Chaeryon Kang, Kirk I. Erickson
Alzheimer's & Dementia  ·  06 Dec 2024  ·  doi:10.1002/alz.14430
X chromosome-wide association study for Alzheimer s disease
X‐chromosome-wide association study for Alzheimer’s disease
Julie Le Borgne, Lissette Gomez, Sami Heikkinen, Najaf Amin, Shahzad Ahmad, …, Josée Dupuis, Eden Martin, Jean-Charles Lambert, Brian Kunkle, Céline Bellenguez
Molecular Psychiatry  ·  04 Dec 2024  ·  doi:10.1038/s41380-024-02838-5
Timeline to symptomatic Alzheimer s disease in people with Down syndrome as assessed by amyloid-PET and tau-PET: a longitudinal cohort study
Timeline to symptomatic Alzheimer's disease in people with Down syndrome as assessed by amyloid-PET and tau-PET: a longitudinal cohort study
Emily K Schworer, Matthew D Zammit, Jiebiao Wang, Benjamin L Handen, Tobey Betthauser, …, Badri Varadarajan, Desiree White, Michael Yassa, Shahid Zaman, Fan Zhang
The Lancet Neurology  ·  01 Dec 2024  ·  doi:10.1016/S1474-4422(24)00426-5
The effects of mosaicism on biological and clinical markers of Alzheimer s disease in adults with Down syndrome
The effects of mosaicism on biological and clinical markers of Alzheimer's disease in adults with Down syndrome
Laura Xicota, Lam-Ha T. Dang, Alice Lee, Sharon Krinsky-McHale, Deborah Pang, …, Badri Varadarajan, Desiree A. White, Michael A. Yassa, Shahid Zaman, Fan Zhang
eBioMedicine  ·  01 Dec 2024  ·  doi:10.1016/j.ebiom.2024.105433
APOE4 related brain vulnerabilities in memory circuitry of midlife women
APOE4‐related brain vulnerabilities in memory circuitry of midlife women
Katrina A Wugalter, Rebecca C Thurston, Rachel A Schroeder, Minjie Wu, Howard J Aizenstein, M. Ilyas Kamboh, Carol A. Derby, Pauline M Maki
Alzheimer's & Dementia  ·  01 Dec 2024  ·  doi:10.1002/alz.092813
Multi-analyte proteomic analysis identifies blood-based neuroinflammation, cerebrovascular and synaptic biomarkers in preclinical Alzheimer s disease
Multi-analyte proteomic analysis identifies blood-based neuroinflammation, cerebrovascular and synaptic biomarkers in preclinical Alzheimer’s disease
Xuemei Zeng, Tara K. Lafferty, Anuradha Sehrawat, Yijun Chen, Pamela C. L. Ferreira, …, Tharick A. Pascoal, Mary Ganguli, Victor L. Villemagne, Beth E. Snitz, Thomas K. Karikari
Molecular Neurodegeneration  ·  10 Oct 2024  ·  doi:10.1186/s13024-024-00753-5
CYP1B1-RMDN2 Alzheimer s disease endophenotype locus identified for cerebral tau PET
CYP1B1-RMDN2 Alzheimer’s disease endophenotype locus identified for cerebral tau PET
Kwangsik Nho, Shannon L. Risacher, Liana G. Apostolova, Paula J. Bice, Jared R. Brosch, …, Andy P. Tsai, Isabel Castanho, Jonathan Mill, Michael W. Weiner, Andrew J. Saykin
Nature Communications  ·  20 Sep 2024  ·  doi:10.1038/s41467-024-52298-2
Enrichment of Rare Variants of Hemophagocytic Lymphohistiocytosis Genes in Systemic Juvenile Idiopathic Arthritis
Enrichment of Rare Variants of Hemophagocytic Lymphohistiocytosis Genes in Systemic Juvenile Idiopathic Arthritis
Mariana Correia Marques, Danielle Rubin, Emily G. Shuldiner, Mallika Datta, Elizabeth Schmitz, …, Sheila Oliveira, Patricia Woo, Seza Ozen, Zuoming Deng, Michael J. Ombrello
Arthritis & Rheumatology  ·  09 Aug 2024  ·  doi:10.1002/art.42938
Associations of endogenous estrogens, plasma Alzheimer s disease biomarkers, and APOE4 carrier status on regional brain volumes in postmenopausal women
Associations of endogenous estrogens, plasma Alzheimer’s disease biomarkers, and APOE4 carrier status on regional brain volumes in postmenopausal women
Katrina A. Wugalter, Rachel A. Schroeder, Rebecca C. Thurston, Minjie Wu, Howard J. Aizenstein, Ann D. Cohen, M. Ilyas Kamboh, Thomas K. Karikari, Carol A. Derby, Pauline M. Maki
Frontiers in Aging Neuroscience  ·  09 Jul 2024  ·  doi:10.3389/fnagi.2024.1426070
Apolipoprotein E and Alzheimer s disease pathology in African American older adults
Apolipoprotein E and Alzheimer’s disease pathology in African American older adults
Sarah K. Royse, Beth E. Snitz, Ashley V. Hill, Alexandria C. Reese, Rebecca E. Roush, …, Victor L. Villemagne, Oscar L. Lopez, Steven E. Reis, James T. Becker, Ann D. Cohen
Neurobiology of Aging  ·  01 Jul 2024  ·  doi:10.1016/j.neurobiolaging.2024.03.005
Comparison of tau spread in people with Down syndrome versus autosomal-dominant Alzheimer s disease: a cross-sectional study
Comparison of tau spread in people with Down syndrome versus autosomal-dominant Alzheimer's disease: a cross-sectional study
Julie K Wisch, Nicole S McKay, Anna H Boerwinkle, James Kennedy, Shaney Flores, …, Allan I. Levey, Erik C.B Johnson, Nicholas T. Seyfried, John Ringman, Hiroshi Mori
The Lancet Neurology  ·  01 May 2024  ·  doi:10.1016/S1474-4422(24)00084-X
Genetic associations with psychosis and affective disturbance in Alzheimer s disease
Genetic associations with psychosis and affective disturbance in Alzheimer's disease
Inga Margret Antonsdottir, Byron Creese, Lambertus Klei, Mary Ann A. DeMichele‐Sweet, Elise A. Weamer, …, M. Ilyas Kamboh, Clive Ballard, Bernie Devlin, Constantine Lyketsos, Robert A. Sweet
Alzheimer's & Dementia: Translational Research & Clinical Interventions  ·  01 Apr 2024  ·  doi:10.1002/trc2.12472
Whole genome wide sequence analysis of long lived families Long Life Family Study identifies i MTUS2 i gene associated with late onset Alzheimer s disease
Whole genome‐wide sequence analysis of long‐lived families (Long‐Life Family Study) identifies MTUS2 gene associated with late‐onset Alzheimer's disease
Laura Xicota, Stephanie Cosentino, Badri Vardarajan, Richard Mayeux, Thomas T. Perls, …, Elizabeth Head, Mark E. Mapstone, Nicole Schupf, Joseph H. Lee, Sandra Barral
Alzheimer's & Dementia  ·  21 Feb 2024  ·  doi:10.1002/alz.13718
Association Between β-Amyloid Accumulation and Incident Dementia in Individuals 80 Years or Older Without Dementia
Association Between β-Amyloid Accumulation and Incident Dementia in Individuals 80 Years or Older Without Dementia
Oscar L. Lopez, Victor L. Villemagne, Yue-Fang Chang, Ann D. Cohen, William E. Klunk, …, Beth E. Snitz, Brian J. Lopresti, M. Ilyas Kamboh, Howard J. Aizenstein, Lewis H. Kuller
Neurology  ·  23 Jan 2024  ·  doi:10.1212/WNL.0000000000207920

2023

Alzheimer s polygenic risk scores are associated with cognitive phenotypes in Down syndrome
Alzheimer's polygenic risk scores are associated with cognitive phenotypes in Down syndrome
Priyanka Gorijala, M. Muaaz Aslam, Lam‐Ha T. Dang, L. Xicota, Maria V. Fernandez, …, Shahid H Zaman, Beau M Ances, M. Ilyas Kamboh, Joseph H Lee, Carlos Cruchaga
Alzheimer's & Dementia  ·  19 Oct 2023  ·  doi:10.1002/alz.13506
Sex dependent alterations in hippocampal connectivity are linked to cerebrovascular and amyloid pathologies in normal aging
Sex‐dependent alterations in hippocampal connectivity are linked to cerebrovascular and amyloid pathologies in normal aging
Noah Schweitzer, Jinghang Li, Rebecca C. Thurston, Brian Lopresti, William E. Klunk, …, Edythe Halligan‐Eddy, Bistra Iordanova, Victor L. Villemagne, Howard Aizenstein, Minjie Wu
Alzheimer's & Dementia  ·  11 Oct 2023  ·  doi:10.1002/alz.13503
Genome-wide analysis identifies novel loci influencing plasma apolipoprotein E concentration and Alzheimer s disease risk
Genome-wide analysis identifies novel loci influencing plasma apolipoprotein E concentration and Alzheimer’s disease risk
M. Muaaz Aslam, Kang-Hsien Fan, Elizabeth Lawrence, Margaret Anne Bedison, Beth E. Snitz, Steven T. DeKosky, Oscar L. Lopez, Eleanor Feingold, M. Ilyas Kamboh
Molecular Psychiatry  ·  05 Sep 2023  ·  doi:10.1038/s41380-023-02170-4
Associations of Sex, Race, and Apolipoprotein E Alleles With Multiple Domains of Cognition Among Older Adults
Associations of Sex, Race, and Apolipoprotein E Alleles With Multiple Domains of Cognition Among Older Adults
Skylar Walters, Alex G. Contreras, Jaclyn M. Eissman, Shubhabrata Mukherjee, Michael L. Lee, …, Chad Ward, Michael W. Weiner, Kristi Wilmes, Paul A. Yushkevich, Caileigh Zimmerman
JAMA Neurology  ·  01 Sep 2023  ·  doi:10.1001/jamaneurol.2023.2169
Multi-ancestry genome-wide meta-analysis of 56,241 individuals identifies i LRRC4C, LHX5-AS1 i and nominates ancestry-specific loci i PTPRK i , i GRB14 i , and i KIAA0825 i as novel risk loci for Alzheimer s disease: the Alzheimer s Disease Genetics Consortium
Multi-ancestry genome-wide meta-analysis of 56,241 individuals identifies LRRC4C, LHX5-AS1 and nominates ancestry-specific loci PTPRK , GRB14 , and KIAA0825 as novel risk loci for Alzheimer’s disease: the Alzheimer’s Disease Genetics Consortium
Farid Rajabli, Penelope Benchek, Giuseppe Tosto, Nicholas Kushch, Jin Sha, …, Margaret A. Pericak-Vance, Gerard D. Schellenberg, Gyungah R. Jun, Christiane Reitz, Adam C. Naj
openRxiv  ·  08 Jul 2023  ·  doi:10.1101/2023.07.06.23292311
Large multi-ethnic genetic analyses of amyloid imaging identify new genes for Alzheimer disease
Large multi-ethnic genetic analyses of amyloid imaging identify new genes for Alzheimer disease
Muhammad Ali, Derek B. Archer, Priyanka Gorijala, Daniel Western, Jigyasha Timsina, …, Michael W. Nagle, Timothy J. Hohman, Yun Ju Sung, Logan Dumitrescu, Carlos Cruchaga
Acta Neuropathologica Communications  ·  26 Apr 2023  ·  doi:10.1186/s40478-023-01563-4
Meta analysis of age related cognitive decline reveals a novel locus for the attention domain and implicates a COVID 19 related gene for global cognitive function
Meta‐analysis of age‐related cognitive decline reveals a novel locus for the attention domain and implicates a COVID‐19‐related gene for global cognitive function
Vibha Acharya, Kang‐Hsien Fan, Beth E. Snitz, Mary Ganguli, Steven T. DeKosky, Oscar L. Lopez, Eleanor Feingold, Mohammed Ilyas Kamboh
Alzheimer's & Dementia  ·  23 Apr 2023  ·  doi:10.1002/alz.13064
Plasma biomarkers identify older adults at risk of Alzheimer s disease and related dementias in a real world population based cohort
Plasma biomarkers identify older adults at risk of Alzheimer's disease and related dementias in a real‐world population‐based cohort
Pamela C. L. Ferreira, Yingjin Zhang, Beth Snitz, Chung‐Chou H. Chang, Bruna Bellaver, …, Kaj Blennow, Tharick A. Pascoal, Victor L. Villemagne, Mary Ganguli, Thomas K. Karikari
Alzheimer's & Dementia  ·  06 Mar 2023  ·  doi:10.1002/alz.12986
Novel i CYP1B1-RMDN2 i Alzheimer s disease locus identified by genome-wide association analysis of cerebral tau deposition on PET
Novel CYP1B1-RMDN2 Alzheimer’s disease locus identified by genome-wide association analysis of cerebral tau deposition on PET
Kwangsik Nho, Shannon L. Risacher, Liana Apostolova, Paula J. Bice, Jared Brosch, …, Andy P. Tsai, Isabel Castanho, Jonathan Mill, Michael W. Weiner, Andrew J. Saykin
openRxiv  ·  01 Mar 2023  ·  doi:10.1101/2023.02.27.23286048
In Pre-Clinical AD Small Vessel Disease is Associated With Altered Hippocampal Connectivity and Atrophy
In Pre-Clinical AD Small Vessel Disease is Associated With Altered Hippocampal Connectivity and Atrophy
Minjie Wu, Noah Schweitzer, Bistra E. Iordanova, Edythe Halligan-Eddy, Dana L. Tudorascu, …, M. Ilyas Kamboh, Ann D. Cohen, Beth E. Snitz, William E. Klunk, Howard J. Aizenstein
The American Journal of Geriatric Psychiatry  ·  01 Feb 2023  ·  doi:10.1016/j.jagp.2022.09.011
Investigation of the independent role of a rare APOE variant L28P; APOE 4Pittsburgh in late-onset Alzheimer disease
Investigation of the independent role of a rare APOE variant (L28P; APOE*4Pittsburgh) in late-onset Alzheimer disease
KangHsien Fan, Lily Francis, M. Muaaz Aslam, Margret A. Bedison, Elizabeth Lawrence, …, Mary Ganguli, Steven T. DeKosky, Oscar L. Lopez, Eleanor Feingold, M. Ilyas Kamboh
Neurobiology of Aging  ·  01 Feb 2023  ·  doi:10.1016/j.neurobiolaging.2022.11.007

2022

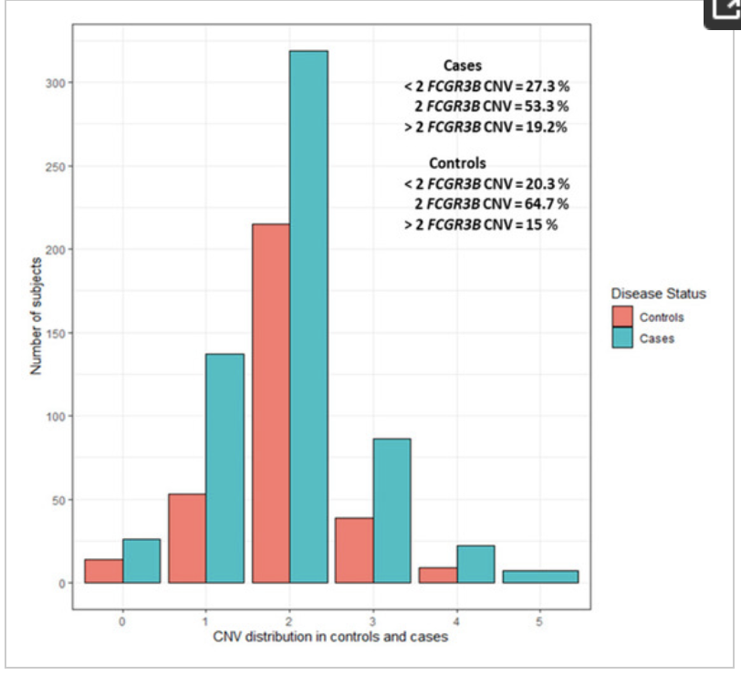
Association of Fc Gamma Receptor 3B Gene Copy Number Variation with Rheumatoid Arthritis Susceptibility
Association of Fc Gamma Receptor 3B Gene Copy Number Variation with Rheumatoid Arthritis Susceptibility
M. Muaaz Aslam, Peter John, Kang-Hsien Fan, Javaid Mehmood Malik, Eleanor Feingold, F. Yesim Demirci, M. Ilyas Kamboh
Genes  ·  29 Nov 2022  ·  doi:10.3390/genes13122238
Genome-Wide Association Study of Incident Dementia in a Community-Based Sample of Older Subjects
Genome-Wide Association Study of Incident Dementia in a Community-Based Sample of Older Subjects
Jordan D. Harper, Kang-Hsien Fan, M. Muaaz Aslam, Beth E. Snitz, Steven T. DeKosky, Oscar L. Lopez, Eleanor Feingold, M. Ilyas Kamboh
Journal of Alzheimer's Disease  ·  19 Jul 2022  ·  doi:10.3233/JAD-220293
Targeted Lipidomics To Measure Phospholipids and Sphingomyelins in Plasma: A Pilot Study To Understand the Impact of Race Ethnicity in Alzheimer s Disease
Targeted Lipidomics To Measure Phospholipids and Sphingomyelins in Plasma: A Pilot Study To Understand the Impact of Race/Ethnicity in Alzheimer’s Disease
Mostafa J. Khan, Nadjali A. Chung, Shania Hansen, Logan Dumitrescu, Timothy J. Hohman, M. Ilyas Kamboh, Oscar L. Lopez, Renã A. S. Robinson
Analytical Chemistry  ·  02 Mar 2022  ·  doi:10.1021/acs.analchem.1c03821
Joint label fusion brain atlases for dementia research in Down syndrome
Joint‐label fusion brain atlases for dementia research in Down syndrome
Nazek Queder, Michael J. Phelan, Lisa Taylor, Nicholas Tustison, Eric Doran, …, Wayne Silverman, Ira T. Lott, Elizabeth Head, Mark Mapstone, David B. Keator
Alzheimer's & Dementia: Diagnosis, Assessment & Disease Monitoring  ·  01 Jan 2022  ·  doi:10.1002/dad2.12324

2021

Small nucleolar RNAs in plasma extracellular vesicles and their discriminatory power as diagnostic biomarkers of Alzheimer s disease
Small nucleolar RNAs in plasma extracellular vesicles and their discriminatory power as diagnostic biomarkers of Alzheimer's disease
Nicholas F. Fitz, Jiebiao Wang, M. Ilyas Kamboh, Radosveta Koldamova, Iliya Lefterov
Neurobiology of Disease  ·  01 Nov 2021  ·  doi:10.1016/j.nbd.2021.105481
Genome-wide association identifies the first risk loci for psychosis in Alzheimer disease
Genome-wide association identifies the first risk loci for psychosis in Alzheimer disease
Mary Ann A. DeMichele-Sweet, Lambertus Klei, Byron Creese, Janet C. Harwood, Elise A. Weamer, …, Peter Holmans, Oscar L. Lopez, M. Ilyas Kamboh, Bernie Devlin, Robert A. Sweet
Molecular Psychiatry  ·  10 Jun 2021  ·  doi:10.1038/s41380-021-01152-8
Cardiac-induced cerebral pulsatility, brain structure, and cognition in middle and older-aged adults
Cardiac-induced cerebral pulsatility, brain structure, and cognition in middle and older-aged adults
Tae Kim, Sang-Young Kim, Vikas Agarwal, Annie Cohen, Rebecca Roush, …, Theodore J Huppert, Anto Bagic, M. Ilyas Kamboh, Jack Doman, James T. Becker
NeuroImage  ·  01 Jun 2021  ·  doi:10.1016/j.neuroimage.2021.117956
Assessment of genetic risk of type 2 diabetes among Pakistanis based on GWAS-implicated loci
Assessment of genetic risk of type 2 diabetes among Pakistanis based on GWAS-implicated loci
Bibi Sabiha, Attya Bhatti, Kang-Hsien Fan, Peter John, Muhammad Muaaz Aslam, Johar Ali, Eleanor Feingold, F. Yesim Demirci, M. Ilyas Kamboh
Gene  ·  01 May 2021  ·  doi:10.1016/j.gene.2021.145563
Dataset of why inclusion matters for Alzheimer s disease biomarker discovery in plasma
Dataset of why inclusion matters for Alzheimer's disease biomarker discovery in plasma
Mostafa J. Khan, Heather Desaire, Oscar L. Lopez, M. Ilyas Kamboh, Renã A.S. Robinson
Data in Brief  ·  01 Apr 2021  ·  doi:10.1016/j.dib.2021.106923
Novel Alzheimer Disease Risk Loci and Pathways in African American Individuals Using the African Genome Resources Panel
Novel Alzheimer Disease Risk Loci and Pathways in African American Individuals Using the African Genome Resources Panel
Brian W. Kunkle, Michael Schmidt, Hans-Ulrich Klein, Adam C. Naj, Kara L. Hamilton-Nelson, …, Thomas J. Grabowski, Sanjay Asthana, John C. Morris, Stephen M. Strittmatter, Walter A. Kukull
JAMA Neurology  ·  01 Jan 2021  ·  doi:10.1001/jamaneurol.2020.3536

2020

Hepatic lipase LIPC sequencing in individuals with extremely high and low high-density lipoprotein cholesterol levels
Hepatic lipase (LIPC) sequencing in individuals with extremely high and low high-density lipoprotein cholesterol levels
Dilek Pirim, Clareann H. Bunker, John E. Hokanson, Richard F. Hamman, F. Yesim Demirci, M. Ilyas Kamboh
PLOS ONE  ·  16 Dec 2020  ·  doi:10.1371/journal.pone.0243919
Association of i VPREB1 i Gene Copy Number Variation and Rheumatoid Arthritis Susceptibility
Association of VPREB1 Gene Copy Number Variation and Rheumatoid Arthritis Susceptibility
Muhammad Muaaz Aslam, Peter John, Kang-Hsien Fan, Attya Bhatti, Eleanor Feingold, F. Yesim Demirci, M. Ilyas Kamboh
Disease Markers  ·  08 Oct 2020  ·  doi:10.1155/2020/7189626
A sequencing study of CTLA4 in Pakistani rheumatoid arthritis cases
A sequencing study of CTLA4 in Pakistani rheumatoid arthritis cases
Muhammad Muaaz Aslam, Fazal Jalil, Peter John, Kang-Hsien Fan, Attya Bhatti, Eleanor Feingold, F. Yesim Demirci, M. Ilyas Kamboh
PLOS ONE  ·  18 Sep 2020  ·  doi:10.1371/journal.pone.0239426
Predicting resistance to amyloid-beta deposition and cognitive resilience in the oldest-old
Predicting resistance to amyloid-beta deposition and cognitive resilience in the oldest-old
Beth E. Snitz, Yuefang Chang, Dana L. Tudorascu, Oscar L. Lopez, Brian J. Lopresti, …, Ann D. Cohen, M. Ilyas Kamboh, Howard J. Aizenstein, William E. Klunk, Lewis H. Kuller
Neurology  ·  25 Aug 2020  ·  doi:10.1212/WNL.0000000000010239
Whole-Exome Sequencing Analysis of Alzheimer s Disease in Non-APOE 4 Carriers
Whole-Exome Sequencing Analysis of Alzheimer’s Disease in Non-APOE*4 Carriers
Kang-Hsien Fan, Eleanor Feingold, Samantha L. Rosenthal, F. Yesim Demirci, Mary Ganguli, Oscar L. Lopez, M. Ilyas Kamboh
Journal of Alzheimer's Disease  ·  18 Aug 2020  ·  doi:10.3233/JAD-200037
Investigating the GWAS-Implicated Loci for Rheumatoid Arthritis in the Pakistani Population
Investigating the GWAS-Implicated Loci for Rheumatoid Arthritis in the Pakistani Population
Muhammad Muaaz Aslam, Peter John, Kang-Hsien Fan, Attya Bhatti, Wajahat Aziz, Bashir Ahmed, Eleanor Feingold, F. Yesim Demirci, M. Ilyas Kamboh
Disease Markers  ·  03 Aug 2020  ·  doi:10.1155/2020/1910215
Alzheimer s disease pathology in a community-based sample of older adults without dementia: The MYHAT neuroimaging study
Alzheimer’s disease pathology in a community-based sample of older adults without dementia: The MYHAT neuroimaging study
Kevin J. Sullivan, Anran Liu, Chung-Chou H. Chang, Ann D. Cohen, Brian J. Lopresti, …, Neelesh K. Nadkarni, David Loewenstein, M. Ilyas Kamboh, Mary Ganguli, Beth E. Snitz
Brain Imaging and Behavior  ·  03 Aug 2020  ·  doi:10.1007/s11682-020-00334-2
Hippocampal sclerosis, TDP 43, and the duration of the symptoms of dementia of AD patients
Hippocampal sclerosis, TDP‐43, and the duration of the symptoms of dementia of AD patients
Oscar L. Lopez, Julia Kofler, YueFang Chang, Sarah B. Berman, James T. Becker, …, M. Ilyas Kamboh, Ann D. Cohen, Beth E. Snitz, Lewis H. Kuller, William E. Klunk
Annals of Clinical and Translational Neurology  ·  31 Jul 2020  ·  doi:10.1002/acn3.51135
Predictors of Dementia in the Oldest Old
Predictors of Dementia in the Oldest Old
Yichen Jia, Chung-Chou H. Chang, Tiffany F. Hughes, Erin Jacobsen, Shu Wang, Sarah B. Berman, M. Ilyas Kamboh, Mary Ganguli
Alzheimer Disease & Associated Disorders  ·  21 Jul 2020  ·  doi:10.1097/WAD.0000000000000400
Association Study of Coronary Artery Disease-Associated Genome-Wide Significant SNPs with Coronary Stenosis in Pakistani Population
Association Study of Coronary Artery Disease-Associated Genome-Wide Significant SNPs with Coronary Stenosis in Pakistani Population
Asma Naseer Cheema, Dilek Pirim, Xingbin Wang, Jabar Ali, Attya Bhatti, Peter John, Eleanor Feingold, F. Yesim Demirci, M. Ilyas Kamboh
Disease Markers  ·  27 Jun 2020  ·  doi:10.1155/2020/9738567
Exceptionally low likelihood of Alzheimer s dementia in APOE2 homozygotes from a 5,000-person neuropathological study
Exceptionally low likelihood of Alzheimer’s dementia in APOE2 homozygotes from a 5,000-person neuropathological study
Eric M. Reiman, Joseph F. Arboleda-Velasquez, Yakeel T. Quiroz, Matthew J. Huentelman, Thomas G. Beach, …, Clinton B. Wright, Chuang-Kuo Wu, Chang-En Yu, Lei Yu, Yi Zhao
Nature Communications  ·  03 Feb 2020  ·  doi:10.1038/s41467-019-14279-8

2019

Population-based genome-wide association study of cognitive decline in older adults free of dementia: identification of a novel locus for the attention domain
Population-based genome-wide association study of cognitive decline in older adults free of dementia: identification of a novel locus for the attention domain
M. Ilyas Kamboh, Kang-Hsien Fan, Qi Yan, Joanne C. Beer, Beth E. Snitz, Xingbin Wang, Chung-Chou H. Chang, F. Yesim Demirci, Eleanor Feingold, Mary Ganguli
Neurobiology of Aging  ·  01 Dec 2019  ·  doi:10.1016/j.neurobiolaging.2019.02.024
Investigating Gains in Neurocognition in an Intervention Trial of Exercise IGNITE : Protocol
Investigating Gains in Neurocognition in an Intervention Trial of Exercise (IGNITE): Protocol
Kirk I. Erickson, George A. Grove, Jeffrey M. Burns, Charles H. Hillman, Arthur F. Kramer, …, Amanda Szabo-Reed, Timothy D. Verstynen, Jennifer C. Watt, Andrea M. Weinstein, Mariegold E. Wollam
Contemporary Clinical Trials  ·  01 Oct 2019  ·  doi:10.1016/j.cct.2019.105832
Gene Expression and Cardiometabolic Phenotypes of Vitamin D-Deficient Overweight and Obese Black Children
Gene Expression and Cardiometabolic Phenotypes of Vitamin D-Deficient Overweight and Obese Black Children
Kumaravel Rajakumar, Qi Yan, Arshad T. Khalid, Eleanor Feingold, Abbe N. Vallejo, F. Yesim Demirci, M. Ilyas Kamboh
Nutrients  ·  28 Aug 2019  ·  doi:10.3390/nu11092016
Exploration of shared genetic susceptibility loci between type 1 diabetes and rheumatoid arthritis in the Pakistani population
Exploration of shared genetic susceptibility loci between type 1 diabetes and rheumatoid arthritis in the Pakistani population
Muhammad Muaaz Aslam, Peter John, Kang-Hsien Fan, Attya Bhatti, Sidrah Jahangir, Eleanor Feingold, F. Yesim Demirci, M. Ilyas Kamboh
BMC Research Notes  ·  27 Aug 2019  ·  doi:10.1186/s13104-019-4590-8
Vitamin D as a Principal Factor in Mediating Rheumatoid Arthritis-Derived Immune Response
Vitamin D as a Principal Factor in Mediating Rheumatoid Arthritis-Derived Immune Response
Muhammad M. Aslam, Peter John, Attya Bhatti, Sidrah Jahangir, M. I. Kamboh
BioMed Research International  ·  07 May 2019  ·  doi:10.1155/2019/3494937
Amyloid deposition is associated with different patterns of hippocampal connectivity in men versus women
Amyloid deposition is associated with different patterns of hippocampal connectivity in men versus women
Minjie Wu, Rebecca C. Thurston, Dana L. Tudorascu, Helmet T. Karim, Chester A. Mathis, …, M. Ilyas Kamboh, Ann D. Cohen, Beth E. Snitz, William E. Klunk, Howard J. Aizenstein
Neurobiology of Aging  ·  01 Apr 2019  ·  doi:10.1016/j.neurobiolaging.2018.11.020
Apolipoprotein E-C1-C4-C2 gene cluster region and inter-individual variation in plasma lipoprotein levels: a comprehensive genetic association study in two ethnic groups
Apolipoprotein E-C1-C4-C2 gene cluster region and inter-individual variation in plasma lipoprotein levels: a comprehensive genetic association study in two ethnic groups
Dilek Pirim, Zaheda H. Radwan, Xingbin Wang, Vipavee Niemsiri, John E. Hokanson, Richard F. Hamman, Eleanor Feingold, Clareann H. Bunker, F. Yesim Demirci, M. Ilyas Kamboh
PLOS ONE  ·  26 Mar 2019  ·  doi:10.1371/journal.pone.0214060
Genetic meta-analysis of diagnosed Alzheimer s disease identifies new risk loci and implicates Aβ, tau, immunity and lipid processing
Genetic meta-analysis of diagnosed Alzheimer’s disease identifies new risk loci and implicates Aβ, tau, immunity and lipid processing
Brian W. Kunkle, Benjamin Grenier-Boley, Rebecca Sims, Joshua C. Bis, Vincent Damotte, …, Julie Williams, Phillippe Amouyel, Gerard D. Schellenberg, Jean-Charles Lambert, Margaret A. Pericak-Vance
Nature Genetics  ·  28 Feb 2019  ·  doi:10.1038/s41588-019-0358-2

2018

Genetic data and cognitively defined late-onset Alzheimer s disease subgroups
Genetic data and cognitively defined late-onset Alzheimer’s disease subgroups
Shubhabrata Mukherjee, Jesse Mez, Emily H. Trittschuh, Andrew J. Saykin, Laura E. Gibbons, …, Philip L. De Jager, David A. Bennett, C. Dirk Keene, Eric B. Larson, Paul K. Crane
Molecular Psychiatry  ·  04 Dec 2018  ·  doi:10.1038/s41380-018-0298-8
A Brief Synopsis on the Genetics of Alzheimer s Disease
A Brief Synopsis on the Genetics of Alzheimer’s Disease
M. Ilyas Kamboh
Current Genetic Medicine Reports  ·  30 Oct 2018  ·  doi:10.1007/s40142-018-0155-8
Genome-wide association study of brain amyloid deposition as measured by Pittsburgh Compound-B PiB -PET imaging
Genome-wide association study of brain amyloid deposition as measured by Pittsburgh Compound-B (PiB)-PET imaging
Qi Yan, Kwangsik Nho, Jorge L. Del-Aguila, Xingbin Wang, Shannon L. Risacher, …, Eleanor Feingold, William E. Klunk, Andrew J. Saykin, Carlos Cruchaga, M. Ilyas Kamboh
Molecular Psychiatry  ·  25 Oct 2018  ·  doi:10.1038/s41380-018-0246-7
Analysis of shared heritability in common disorders of the brain
Analysis of shared heritability in common disorders of the brain
Verneri Anttila, Brendan Bulik-Sullivan, Hilary K. Finucane, Raymond K. Walters, Jose Bras, …, Jordan W. Smoller, Patrick Sullivan, Jonathan Rosand, Aiden Corvin, Benjamin M. Neale
Science  ·  22 Jun 2018  ·  doi:10.1126/science.aap8757
Amyloid deposition and brain structure as long-term predictors of MCI, dementia, and mortality
Amyloid deposition and brain structure as long-term predictors of MCI, dementia, and mortality
Oscar L. Lopez, James T. Becker, YueFang Chang, William E. Klunk, Chester Mathis, …, Ann D. Cohen, Steven T. DeKosky, Milos Ikonomovic, M. Ilyas Kamboh, Lewis H. Kuller
Neurology  ·  22 May 2018  ·  doi:10.1212/WNL.0000000000005549
Meta-analysis of genetic association with diagnosed Alzheimer s disease identifies novel risk loci and implicates Abeta, Tau, immunity and lipid processing
Meta-analysis of genetic association with diagnosed Alzheimer’s disease identifies novel risk loci and implicates Abeta, Tau, immunity and lipid processing
BW Kunkle, B Grenier-Boley, R Sims, JC Bis, AC Naj, …, J Williams, P Amouyel, GD Schellenberg, JC Lambert, MA Pericak-Vance
openRxiv  ·  04 Apr 2018  ·  doi:10.1101/294629
Risk of progression from subjective cognitive decline to mild cognitive impairment: The role of study setting
Risk of progression from subjective cognitive decline to mild cognitive impairment: The role of study setting
Beth E. Snitz, Tianxiu Wang, Yona Keich Cloonan, Erin Jacobsen, Chung‐Chou H. Chang, Tiffany F. Hughes, M. Ilyas Kamboh, Mary Ganguli
Alzheimer's & Dementia  ·  17 Jan 2018  ·  doi:10.1016/j.jalz.2017.12.003
Genetically elevated high density lipoprotein cholesterol through the cholesteryl ester transfer protein gene does not associate with risk of Alzheimer s disease
Genetically elevated high‐density lipoprotein cholesterol through the cholesteryl ester transfer protein gene does not associate with risk of Alzheimer's disease
Gina M. Peloso, Sven J. van der Lee, R. Sims, S.J. van der Lee, A.C. Naj, …, S. Seshadri, J. Williams, G.D. Schellenberg, Anita L. Destefano, Sudha Seshardi
Alzheimer's & Dementia: Diagnosis, Assessment & Disease Monitoring  ·  01 Jan 2018  ·  doi:10.1016/j.dadm.2018.08.008
Synergism of antihypertensives and cholinesterase inhibitors in Alzheimer s disease
Synergism of antihypertensives and cholinesterase inhibitors in Alzheimer's disease
Ziheng Hu, Lirong Wang, Shifan Ma, Levent Kirisci, Zhiwei Feng, …, Robert A. Sweet, James Becker, Qianzhou Lv, Oscar L. Lopez, Xiang‐Qun Xie
Alzheimer's & Dementia: Translational Research & Clinical Interventions  ·  01 Jan 2018  ·  doi:10.1016/j.trci.2018.09.001
Amyloid β Deposition and Suspected Non-Alzheimer Pathophysiology and Cognitive Decline Patterns for 12 Years in Oldest Old Participants Without Dementia
Amyloid β Deposition and Suspected Non-Alzheimer Pathophysiology and Cognitive Decline Patterns for 12 Years in Oldest Old Participants Without Dementia
Yujing Zhao, Dana L. Tudorascu, Oscar L. Lopez, Ann D. Cohen, Chester A. Mathis, …, Lewis H. Kuller, M. Ilyas Kamboh, Steven T. DeKosky, William E. Klunk, Beth E. Snitz
JAMA Neurology  ·  01 Jan 2018  ·  doi:10.1001/jamaneurol.2017.3029

2017

Abstract 21122: Contribution of i ABCA1 i Genetic Variation to Plasma Lipid Levels in Non-Hispanic White Americans
Abstract 21122: Contribution of ABCA1 Genetic Variation to Plasma Lipid Levels in Non-Hispanic White Americans
Vipavee Niemsiri, Xingbin Wang, Zaheda H Radwan, Dilek Pirim, Indrani Halder, …, Richard F Hamman, M M Barmada, Eleanor Feingold, F Y Demirci, M I Kamboh
Circulation  ·  14 Nov 2017  ·  doi:10.1161/circ.136.suppl_1.21122
Rare coding variants in PLCG2, ABI3, and TREM2 implicate microglial-mediated innate immunity in Alzheimer s disease
Rare coding variants in PLCG2, ABI3, and TREM2 implicate microglial-mediated innate immunity in Alzheimer's disease
Rebecca Sims, Sven J van der Lee, Adam C Naj, Céline Bellenguez, Nandini Badarinarayan, …, Li-San Wang, Jean-Charles Lambert, Sudha Seshadri, Julie Williams, Gerard D Schellenberg
Nature Genetics  ·  17 Jul 2017  ·  doi:10.1038/ng.3916
Genetic risk for schizophrenia and psychosis in Alzheimer disease
Genetic risk for schizophrenia and psychosis in Alzheimer disease
M A A DeMichele-Sweet, E A Weamer, L Klei, D T Vrana, D J Hollingshead, …, O L Lopez, E L Sibille, M I Kamboh, B Devlin, R A Sweet
Molecular Psychiatry  ·  02 May 2017  ·  doi:10.1038/mp.2017.81
Genetic architecture distinguishes systemic juvenile idiopathic arthritis from other forms of juvenile idiopathic arthritis: clinical and therapeutic implications
Genetic architecture distinguishes systemic juvenile idiopathic arthritis from other forms of juvenile idiopathic arthritis: clinical and therapeutic implications
Michael J Ombrello, Victoria L Arthur, Elaine F Remmers, Anne Hinks, Ioanna Tachmazidou, …, Susan Thompson, Eleftheria Zeggini, Daniel L Kastner, Patricia Woo, Wendy Thomson
Annals of the Rheumatic Diseases  ·  01 May 2017  ·  doi:10.1136/annrheumdis-2016-210324
Multiple signals at the extended 8p23 locus are associated with susceptibility to systemic lupus erythematosus
Multiple signals at the extended 8p23 locus are associated with susceptibility to systemic lupus erythematosus
F Yesim Demirci, Xingbin Wang, David L Morris, Eleanor Feingold, Sasha Bernatsky, …, Ann Clarke, Rosalind Ramsey-Goldman, Susan Manzi, Timothy J Vyse, M Ilyas Kamboh
Journal of Medical Genetics  ·  13 Mar 2017  ·  doi:10.1136/jmedgenet-2016-104247
Transethnic genome wide scan identifies novel Alzheimer s disease loci
Transethnic genome‐wide scan identifies novel Alzheimer's disease loci
Gyungah R. Jun, Jaeyoon Chung, Jesse Mez, Robert Barber, Gary W. Beecham, …, Richard Mayeux, Margaret A. Pericak‐Vance, Gerard Schellenberg, Kathryn L. Lunetta, Lindsay A. Farrer
Alzheimer's & Dementia  ·  07 Feb 2017  ·  doi:10.1016/j.jalz.2016.12.012
Proficiency of data interpretation: identification of signaling SNPs specific loci for coronary artery disease
Proficiency of data interpretation: identification of signaling SNPs/specific loci for coronary artery disease
Asma N Cheema, Samantha L Rosenthal, M Ilyas Kamboh
Database  ·  01 Jan 2017  ·  doi:10.1093/database/bax078

2016

Two novel loci, i COBL i and i SLC10A2 i , for Alzheimer s disease in African Americans
Two novel loci, COBL and SLC10A2, for Alzheimer's disease in African Americans
Jesse Mez, Jaeyoon Chung, Gyungah Jun, Joshua Kriegel, Alexandra P. Bourlas, …, Richard Mayeux, Margaret A. Pericak-Vance, Gerard D. Schellenberg, Kathryn L. Lunetta, Lindsay A. Farrer
Alzheimer's & Dementia  ·  19 Oct 2016  ·  doi:10.1016/j.jalz.2016.09.002
i ABCA7 i frameshift deletion associated with Alzheimer disease in African Americans
ABCA7 frameshift deletion associated with Alzheimer disease in African Americans
Holly N. Cukier, Brian W. Kunkle, Badri N. Vardarajan, Sophie Rolati, Kara L. Hamilton-Nelson, …, Randall L. Woltjer, Clinton B. Wright, Steven G. Younkin, Chang-En Yu, Lei Yu
Neurology Genetics  ·  01 Jun 2016  ·  doi:10.1212/NXG.0000000000000079
Assessment of the genetic variance of late-onset Alzheimer s disease
Assessment of the genetic variance of late-onset Alzheimer's disease
Perry G. Ridge, Kaitlyn B. Hoyt, Kevin Boehme, Shubhabrata Mukherjee, Paul K. Crane, …, Clinton B. Wright, Chuang-Kuo Wu, Steven G. Younkin, Chang-En Yu, Lei Yu
Neurobiology of Aging  ·  01 May 2016  ·  doi:10.1016/j.neurobiolaging.2016.02.024
Shared genetic contribution to ischemic stroke and Alzheimer s disease
Shared genetic contribution to ischemic stroke and Alzheimer's disease
Matthew Traylor, Poneh Adib‐Samii, Denise Harold, Martin Dichgans, Julie Williams, Cathryn M. Lewis, Hugh S. Markus
Annals of Neurology  ·  30 Mar 2016  ·  doi:10.1002/ana.24621
Resequencing of the CETP gene in American whites and African blacks: Association of rare and common variants with HDL-cholesterol levels
Resequencing of the CETP gene in American whites and African blacks: Association of rare and common variants with HDL-cholesterol levels
Dilek Pirim, Xingbin Wang, Vipavee Niemsiri, Zaheda H. Radwan, Clareann H. Bunker, John E. Hokanson, Richard F. Hamman, M. Michael Barmada, F. Yesim Demirci, M. Ilyas Kamboh
Metabolism  ·  01 Jan 2016  ·  doi:10.1016/j.metabol.2015.09.020

2015

Identification of a New Susceptibility Locus for Systemic Lupus Erythematosus on Chromosome 12 in Individuals of European Ancestry
Identification of a New Susceptibility Locus for Systemic Lupus Erythematosus on Chromosome 12 in Individuals of European Ancestry
F. Yesim Demirci, Xingbin Wang, Jennifer A. Kelly, David L. Morris, M. Michael Barmada, …, Rosalind Ramsey‐Goldman, Timothy J. Vyse, Patrick M. Gaffney, Susan Manzi, M. Ilyas Kamboh
Arthritis & Rheumatology  ·  23 Dec 2015  ·  doi:10.1002/art.39403
i HLA-DRB1 11 i and variants of the MHC class II locus are strong risk factors for systemic juvenile idiopathic arthritis
HLA-DRB1*11and variants of the MHC class II locus are strong risk factors for systemic juvenile idiopathic arthritis
Michael J. Ombrello, Elaine F. Remmers, Ioanna Tachmazidou, Alexei Grom, Dirk Foell, …, Elizabeth Stringer, Shirley Tse, Lori B. Tucker, Stuart Turvey, Rae SM Yeung
Proceedings of the National Academy of Sciences  ·  23 Nov 2015  ·  doi:10.1073/pnas.1520779112
Genetic contribution of SCARB1 variants to lipid traits in African Blacks: a candidate gene association study
Genetic contribution of SCARB1 variants to lipid traits in African Blacks: a candidate gene association study
Vipavee Niemsiri, Xingbin Wang, Dilek Pirim, Zaheda H. Radwan, Clareann H. Bunker, M. Michael Barmada, M. Ilyas Kamboh, F. Yesim Demirci
BMC Medical Genetics  ·  12 Nov 2015  ·  doi:10.1186/s12881-015-0250-6
Genetic variants associated with susceptibility to psychosis in late-onset Alzheimer s disease families
Genetic variants associated with susceptibility to psychosis in late-onset Alzheimer’s disease families
Sandra Barral, Badri N. Vardarajan, Dolly Reyes-Dumeyer, Kelley M. Faber, Thomas D. Bird, …, Tatiana M. Foroud, Elise A. Weamer, Ruth Ottman, Robert A. Sweet, Richard Mayeux
Neurobiology of Aging  ·  01 Nov 2015  ·  doi:10.1016/j.neurobiolaging.2015.08.006
Association of Long Runs of Homozygosity With Alzheimer Disease Among African American Individuals
Association of Long Runs of Homozygosity With Alzheimer Disease Among African American Individuals
Mahdi Ghani, Christiane Reitz, Rong Cheng, Badri Narayan Vardarajan, Gyungah Jun, …, Joseph H. Lee, Gerard D. Schellenberg, Peter St. George-Hyslop, Richard Mayeux, Ekaterina Rogaeva
JAMA Neurology  ·  01 Nov 2015  ·  doi:10.1001/jamaneurol.2015.1700
Incidental Cerebral Microbleeds and Cerebral Blood Flow in Elderly Individuals
Incidental Cerebral Microbleeds and Cerebral Blood Flow in Elderly Individuals
Nicholas M. Gregg, Albert E. Kim, M. Edip Gurol, Oscar L. Lopez, Howard J. Aizenstein, …, M. Ilyas Kamboh, Davneet Minhas, Lisa A. Weissfeld, Erica L. Tamburo, William E. Klunk
JAMA Neurology  ·  01 Sep 2015  ·  doi:10.1001/jamaneurol.2015.1359
More evidence for association of a rare TREM2 mutation R47H with Alzheimer s disease risk
More evidence for association of a rare TREM2 mutation (R47H) with Alzheimer's disease risk
Samantha L. Rosenthal, Mikhil N. Bamne, Xingbin Wang, Sarah Berman, Beth E. Snitz, William E. Klunk, Robert A. Sweet, F. Yesim Demirci, Oscar L. Lopez, M. Ilyas Kamboh
Neurobiology of Aging  ·  01 Aug 2015  ·  doi:10.1016/j.neurobiolaging.2015.04.012
Global and local ancestry in African Americans: Implications for Alzheimer s disease risk
Global and local ancestry in African‐Americans: Implications for Alzheimer's disease risk
Timothy J. Hohman, Jessica N. Cooke‐Bailey, Christiane Reitz, Gyungah Jun, Adam Naj, …, Margaret A. Pericak‐Vance, Gerard D. Schellenberg, Richard Mayeux, Jonathan L. Haines, Tricia A. Thornton‐Wells
Alzheimer's & Dementia  ·  16 Jun 2015  ·  doi:10.1016/j.jalz.2015.02.012
Genome-wide copy-number variation study of psychosis in Alzheimer s disease
Genome-wide copy-number variation study of psychosis in Alzheimer’s disease
X Zheng, F Y Demirci, M M Barmada, G A Richardson, O L Lopez, R A Sweet, M I Kamboh, E Feingold
Translational Psychiatry  ·  02 Jun 2015  ·  doi:10.1038/tp.2015.64
Genetic link of type 1 diabetes susceptibility loci with rheumatoid arthritis in Pakistani patients
Genetic link of type 1 diabetes susceptibility loci with rheumatoid arthritis in Pakistani patients
Aysha Karim Kiani, Sidrah Jahngir, Peter John, Attya Bhatti, Asima Zia, Xingbin Wang, F. Yesim Demirci, M. Ilyas Kamboh
Immunogenetics  ·  24 Apr 2015  ·  doi:10.1007/s00251-015-0839-0
Prevalence of type 2 diabetes associated complications in Pakistan
Prevalence of type 2 diabetes–associated complications in Pakistan
Asima Zia, Attya Bhatti, Fazal Jalil, Xingbin Wang, Peter John, Aysha Karim Kiani, Jamal Zafar, M. Ilyas Kamboh
International Journal of Diabetes in Developing Countries  ·  17 Apr 2015  ·  doi:10.1007/s13410-015-0380-6
Association of 32 type 1 diabetes risk loci in Pakistani patients
Association of 32 type 1 diabetes risk loci in Pakistani patients
Aysha Karim Kiani, Peter John, Attya Bhatti, Asima Zia, Gulbin Shahid, Parveen Akhtar, Xingbin Wang, F. Yesim Demirci, M. Ilyas Kamboh
Diabetes Research and Clinical Practice  ·  01 Apr 2015  ·  doi:10.1016/j.diabres.2015.01.022
Genetic Determinants of Survival in Patients with Alzheimer s Disease
Genetic Determinants of Survival in Patients with Alzheimer's Disease
Xingbin Wang, Oscar Lopez, Robert A. Sweet, James T. Becker, Steven T. DeKosky, Mahmud M. Barmada, Eleanor Feingold, F. Yesim Demirci, M. Ilyas Kamboh
Journal of Alzheimer's Disease  ·  18 Mar 2015  ·  doi:10.3233/JAD-142442
A novel Alzheimer disease locus located near the gene encoding tau protein
A novel Alzheimer disease locus located near the gene encoding tau protein
G Jun, C A Ibrahim-Verbaas, M Vronskaya, J-C Lambert, J Chung, …, P Amouyel, J Williams, C M van Duijn, G D Schellenberg, L A Farrer
Molecular Psychiatry  ·  17 Mar 2015  ·  doi:10.1038/mp.2015.23
Rarity of the Alzheimer Disease Protective i APP i A673T Variant in the United States
Rarity of the Alzheimer Disease–ProtectiveAPPA673T Variant in the United States
Li-San Wang, Adam C. Naj, Robert R. Graham, Paul K. Crane, Brian W. Kunkle, …, Randall L. Woltjer, Clinton B. Wright, Steven G. Younkin, Chang-En Yu, Lei Yu
JAMA Neurology  ·  01 Feb 2015  ·  doi:10.1001/jamaneurol.2014.2157
Resequencing of LPL in African Blacks and associations with lipoprotein lipid levels
Resequencing of LPL in African Blacks and associations with lipoprotein–lipid levels
Dilek Pirim, Xingbin Wang, Zaheda H Radwan, Vipavee Niemsiri, Clareann H Bunker, M Michael Barmada, M Ilyas Kamboh, F Yesim Demirci
European Journal of Human Genetics  ·  28 Jan 2015  ·  doi:10.1038/ejhg.2014.268
i APOE i Gene Polymorphism and Risk of Coronary Stenosis in Pakistani Population
APOEGene Polymorphism and Risk of Coronary Stenosis in Pakistani Population
Asma Naseer Cheema, Attya Bhatti, Xingbin Wang, Jabar Ali, Mikhil N. Bamne, F. Yesim Demirci, M. Ilyas Kamboh
BioMed Research International  ·  01 Jan 2015  ·  doi:10.1155/2015/587465
Association analysis of 23 susceptibility loci with risk of dementia in a Pakistani population
Association analysis of 23 susceptibility loci with risk of dementia in a Pakistani population
Mamoonah Chaudhry, Shahida Hasnain, Xingbin Wang, Beth E. Snitz, Mikhil N. Bamne, Samantha Rosenthal, F. Yesim Demirci, M. Ilyas Kamboh
Psychiatry Research  ·  01 Jan 2015  ·  doi:10.1016/j.psychres.2014.10.025

2014

Convergent genetic and expression data implicate immunity in Alzheimer s disease
Convergent genetic and expression data implicate immunity in Alzheimer's disease
Lesley Jones, Jean‐Charles Lambert, Li‐San Wang, Seung‐Hoan Choi, Denise Harold, …, Gerard D. Schellenberg, Sudha Seshadri, Philippe Amouyel, Julie Williams, Peter A. Holmans
Alzheimer's & Dementia  ·  19 Dec 2014  ·  doi:10.1016/j.jalz.2014.05.1757
Comprehensive Evaluation of the Association of APOE Genetic Variation with Plasma Lipoprotein Traits in U.S. Whites and African Blacks
Comprehensive Evaluation of the Association of APOE Genetic Variation with Plasma Lipoprotein Traits in U.S. Whites and African Blacks
Zaheda H. Radwan, Xingbin Wang, Fahad Waqar, Dilek Pirim, Vipavee Niemsiri, …, Richard F. Hamman, Clareann H. Bunker, M. Michael Barmada, F. Yesim Demirci, M. Ilyas Kamboh
PLoS ONE  ·  12 Dec 2014  ·  doi:10.1371/journal.pone.0114618
Impact of Genetic Variants in Human Scavenger Receptor Class B Type I i SCARB1 i on Plasma Lipid Traits
Impact of Genetic Variants in Human Scavenger Receptor Class B Type I ( SCARB1 ) on Plasma Lipid Traits
Vipavee Niemsiri, Xingbin Wang, Dilek Pirim, Zaheda H. Radwan, John E. Hokanson, Richard F. Hamman, M. Michael Barmada, F. Yesim Demirci, M. Ilyas Kamboh
Circulation: Cardiovascular Genetics  ·  01 Dec 2014  ·  doi:10.1161/CIRCGENETICS.114.000559
Lupus Nephritis Susceptibility Loci in Women with Systemic Lupus Erythematosus
Lupus Nephritis Susceptibility Loci in Women with Systemic Lupus Erythematosus
Sharon A. Chung, Elizabeth E. Brown, Adrienne H. Williams, Paula S. Ramos, Celine C. Berthier, …, Matthias Kretzler, Robert P. Kimberly, Barry I. Freedman, Robert R. Graham, Carl D. Langefeld
Journal of the American Society of Nephrology  ·  01 Dec 2014  ·  doi:10.1681/ASN.2013050446
Identifying genetic interactions associated with late-onset Alzheimer s disease
Identifying genetic interactions associated with late-onset Alzheimer’s disease
Charalampos S Floudas, Nara Um, M Ilyas Kamboh, Michael M Barmada, Shyam Visweswaran
BioData Mining  ·  01 Dec 2014  ·  doi:10.1186/s13040-014-0035-z
Genetic Determinants of Disease Progression in Alzheimer s Disease
Genetic Determinants of Disease Progression in Alzheimer's Disease
Xingbin Wang, Oscar L. Lopez, Robert A. Sweet, James T. Becker, Steven T. DeKosky, Mahmud M. Barmada, F. Yesim Demirci, M. Ilyas Kamboh
Journal of Alzheimer's Disease  ·  21 Nov 2014  ·  doi:10.3233/JAD-140729
A Rare Duplication on Chromosome 16p11.2 Is Identified in Patients with Psychosis in Alzheimer s Disease
A Rare Duplication on Chromosome 16p11.2 Is Identified in Patients with Psychosis in Alzheimer's Disease
Xiaojing Zheng, F. Yesim Demirci, M. Michael Barmada, Gale A. Richardson, Oscar L. Lopez, Robert A. Sweet, M. Ilyas Kamboh, Eleanor Feingold
PLoS ONE  ·  07 Nov 2014  ·  doi:10.1371/journal.pone.0111462
Effects of Multiple Genetic Loci on Age at Onset in Late-Onset Alzheimer Disease
Effects of Multiple Genetic Loci on Age at Onset in Late-Onset Alzheimer Disease
Adam C. Naj, Gyungah Jun, Christiane Reitz, Brian W. Kunkle, William Perry, …, Randall L. Woltjer, Clinton B. Wright, Steven G. Younkin, Chang-En Yu, Lei Yu
JAMA Neurology  ·  01 Nov 2014  ·  doi:10.1001/jamaneurol.2014.1491
Genome-Wide Association Meta-analysis of Neuropathologic Features of Alzheimer s Disease and Related Dementias
Genome-Wide Association Meta-analysis of Neuropathologic Features of Alzheimer's Disease and Related Dementias
Gary W. Beecham, Kara Hamilton, Adam C. Naj, Eden R. Martin, Matt Huentelman, …, Julie A. Schneider, John Q. Trojanowski, Eric M. Reiman, Gerard D. Schellenberg, Thomas J. Montine
PLoS Genetics  ·  04 Sep 2014  ·  doi:10.1371/journal.pgen.1004606
Two rare i AKAP9 i variants are associated with Alzheimer s disease in African Americans
Two rare AKAP9 variants are associated with Alzheimer's disease in African Americans
Mark W. Logue, Matthew Schu, Badri N. Vardarajan, John Farrell, David A. Bennett, …, Gerard D. Schellenberg, Kathryn L. Lunetta, Clinton T. Baldwin, M. Daniele Fallin, Lindsay A. Farrer
Alzheimer's & Dementia  ·  26 Aug 2014  ·  doi:10.1016/j.jalz.2014.06.010
Investigation of an amyloid precursor protein protective mutation A673T in a North American case-control sample of late-onset Alzheimer s disease
Investigation of an amyloid precursor protein protective mutation (A673T) in a North American case-control sample of late-onset Alzheimer's disease
Mikhil N. Bamne, F. Yesim Demirci, Sarah Berman, Beth E. Snitz, Samantha L. Rosenthal, Xingbin Wang, Oscar L. Lopez, M. Ilyas Kamboh
Neurobiology of Aging  ·  01 Jul 2014  ·  doi:10.1016/j.neurobiolaging.2014.01.020
Gene-Wide Analysis Detects Two New Susceptibility Genes for Alzheimer s Disease
Gene-Wide Analysis Detects Two New Susceptibility Genes for Alzheimer's Disease
Valentina Escott-Price, Céline Bellenguez, Li-San Wang, Seung-Hoan Choi, Denise Harold, …, Alfredo Ramirez, Sudha Seshadri, Gerard D. Schellenberg, Philippe Amouyel, Julie Williams
PLoS ONE  ·  12 Jun 2014  ·  doi:10.1371/journal.pone.0094661
Association of APOE polymorphisms and stressful life events with dementia in a Pakistani population
Association of APOE polymorphisms and stressful life events with dementia in a Pakistani population
M. Chaudhry, S. Hasnain, B.E. Snitz, X. Wang, S. Rosenthal, F.Y. Demirci, M.I. Kamboh
Neuroscience Letters  ·  01 Jun 2014  ·  doi:10.1016/j.neulet.2014.04.008
Connecting the Dots: Potential of Data Integration to Identify Regulatory SNPs in Late-Onset Alzheimer s Disease GWAS Findings
Connecting the Dots: Potential of Data Integration to Identify Regulatory SNPs in Late-Onset Alzheimer's Disease GWAS Findings
Samantha L. Rosenthal, M. Michael Barmada, Xingbin Wang, F. Yesim Demirci, M. Ilyas Kamboh
PLoS ONE  ·  17 Apr 2014  ·  doi:10.1371/journal.pone.0095152
Markers of cholesterol transport are associated with amyloid deposition in the brain
Markers of cholesterol transport are associated with amyloid deposition in the brain
Timothy M. Hughes, Oscar L. Lopez, Rhobert W. Evans, M. Ilyas Kamboh, Jeff D. Williamson, …, Julie C. Price, Ann D. Cohen, Beth E. Snitz, Steven T. DeKosky, Lewis H. Kuller
Neurobiology of Aging  ·  01 Apr 2014  ·  doi:10.1016/j.neurobiolaging.2013.09.040
Late-Onset Alzheimer s Disease Genes and the Potentially Implicated Pathways
Late-Onset Alzheimer’s Disease Genes and the Potentially Implicated Pathways
Samantha L. Rosenthal, M. Ilyas Kamboh
Current Genetic Medicine Reports  ·  22 Mar 2014  ·  doi:10.1007/s40142-014-0034-x
Lipoprotein lipase gene sequencing and plasma lipid profile
Lipoprotein lipase gene sequencing and plasma lipid profile
Dilek Pirim, Xingbin Wang, Zaheda H. Radwan, Vipavee Niemsiri, John E. Hokanson, Richard F. Hamman, M.Michael Barmada, F.Yesim Demirci, M.Ilyas Kamboh
Journal of Lipid Research  ·  01 Jan 2014  ·  doi:10.1194/jlr.M043265

2013

Rare coding variants in the phospholipase D3 gene confer risk for Alzheimer s disease
Rare coding variants in the phospholipase D3 gene confer risk for Alzheimer’s disease
Carlos Cruchaga, Celeste M. Karch, Sheng Chih Jin, Bruno A. Benitez, Yefei Cai, …, Peter St George-Hyslop, Nigel Cairns, John C. Morris, John S. K. Kauwe, Alison M. Goate
Nature  ·  11 Dec 2013  ·  doi:10.1038/nature12825
Gene gene and gene environment interactions in ulcerative colitis
Gene–gene and gene–environment interactions in ulcerative colitis
Ming-Hsi Wang, Claudio Fiocchi, Xiaofeng Zhu, Stephan Ripke, M. Ilyas Kamboh, Nancy Rebert, Richard H. Duerr, Jean-Paul Achkar
Human Genetics  ·  17 Nov 2013  ·  doi:10.1007/s00439-013-1395-z
The catechol-o-methyltransferase Val158Met polymorphism modulates organization of regional cerebral blood flow response to working memory in adults
The catechol-o-methyltransferase Val158Met polymorphism modulates organization of regional cerebral blood flow response to working memory in adults
Alicia F. Heim, Melissa J. Coyne, M. Ilyas Kamboh, Christopher Ryan, J. Richard Jennings
International Journal of Psychophysiology  ·  01 Nov 2013  ·  doi:10.1016/j.ijpsycho.2013.06.023
Meta-analysis of 74,046 individuals identifies 11 new susceptibility loci for Alzheimer s disease
Meta-analysis of 74,046 individuals identifies 11 new susceptibility loci for Alzheimer's disease
Jean-Charles Lambert, Carla A Ibrahim-Verbaas, Denise Harold, Adam C Naj, Rebecca Sims, …, Valentina Moskvina, Sudha Seshadri, Julie Williams, Gerard D Schellenberg, Philippe Amouyel
Nature Genetics  ·  27 Oct 2013  ·  doi:10.1038/ng.2802
Cognitive aging in persons with minimal amyloid-β and white matter hyperintensities
Cognitive aging in persons with minimal amyloid-β and white matter hyperintensities
Robert D. Nebes, Beth E. Snitz, Ann D. Cohen, Howard J. Aizenstein, Judith A. Saxton, …, Chester A. Mathis, Julie C. Price, M.Ilyas Kamboh, Lisa A. Weissfeld, William E. Klunk
Neuropsychologia  ·  01 Sep 2013  ·  doi:10.1016/j.neuropsychologia.2013.07.017
The Long-Term Effects of Conventional and Atypical Antipsychotics in Patients With Probable Alzheimer s Disease
The Long-Term Effects of Conventional and Atypical Antipsychotics in Patients With Probable Alzheimer’s Disease
Oscar L. Lopez, James T. Becker, Yue-Fang Chang, Robert A. Sweet, Howard Aizenstein, …, Eric McDade, M. Ilyas Kamboh, Steven T. DeKosky, Charles F. Reynolds, William E. Klunk
American Journal of Psychiatry  ·  01 Sep 2013  ·  doi:10.1176/appi.ajp.2013.12081046
A Multiethnic Replication Study of Plasma Lipoprotein Levels-Associated SNPs Identified in Recent GWAS
A Multiethnic Replication Study of Plasma Lipoprotein Levels-Associated SNPs Identified in Recent GWAS
Emily K. Bryant, Amy S. Dressen, Clareann H. Bunker, John E. Hokanson, Richard F. Hamman, M. Ilyas Kamboh, F. Yesim Demirci
PLoS ONE  ·  22 May 2013  ·  doi:10.1371/journal.pone.0063469
In vivo assessment of amyloid β deposition in nondemented very elderly subjects
In vivo assessment of amyloid‐β deposition in nondemented very elderly subjects
Chester A. Mathis, Lewis H. Kuller, William E. Klunk, Beth E. Snitz, Julie C. Price, …, Howard J. Aizenstein, Eric M. McDade, M. Ilyas Kamboh, Steven T. DeKosky, Oscar L. Lopez
Annals of Neurology  ·  17 Apr 2013  ·  doi:10.1002/ana.23797
Genome-Wide Association Study Identifies a Novel Locus Contributing to Type 2 Diabetes Susceptibility in Sikhs of Punjabi Origin From India
Genome-Wide Association Study Identifies a Novel Locus Contributing to Type 2 Diabetes Susceptibility in Sikhs of Punjabi Origin From India
Richa Saxena, Danish Saleheen, Latonya F. Been, Martha L. Garavito, Timothy Braun, …, Takashi Kadowaki, Panos Deloukas, Daniel J. Rader, John Danesh, Dharambir K. Sanghera
Diabetes  ·  16 Apr 2013  ·  doi:10.2337/db12-1077
Variants in the ATP-Binding Cassette Transporter ABCA7 , Apolipoprotein E ϵ4, and the Risk of Late-Onset Alzheimer Disease in African Americans
Variants in the ATP-Binding Cassette Transporter (ABCA7), Apolipoprotein E ϵ4, and the Risk of Late-Onset Alzheimer Disease in African Americans
Christiane Reitz, Gyungah Jun, Adam Naj, Ruchita Rajbhandary, Badri Narayan Vardarajan, …, Lindsay A. Farrer, Margaret A. Pericak-Vance, Gerard D. Schellenberg, Richard Mayeux, for the Alzheimer Disease Genetics Consortium
JAMA  ·  10 Apr 2013  ·  doi:10.1001/jama.2013.2973
Replication of European Rheumatoid Arthritis Loci in a Pakistani Population
Replication of European Rheumatoid Arthritis Loci in a Pakistani Population
Syed Fazal Jalil, Attya Bhatti, F. Yesim Demirci, Xingbin Wang, Iltaf Ahmed, Mushtaq Ahmed, M. Michael Barmada, Javaid M. Malik, Peter John, M. Ilyas Kamboh
The Journal of Rheumatology  ·  01 Feb 2013  ·  doi:10.3899/jrheum.121050
Genome-Wide Association Study of Antiphospholipid Antibodies
Genome-Wide Association Study of Antiphospholipid Antibodies
M. Ilyas Kamboh, Xingbin Wang, Amy H. Kao, Michael M. Barmada, Ann Clarke, Rosalind Ramsey-Goldman, Susan Manzi, F. Yesim Demirci
Autoimmune Diseases  ·  01 Jan 2013  ·  doi:10.1155/2013/761046

2012

PTGER4 Expression-Modulating Polymorphisms in the 5p13.1 Region Predispose to Crohn s Disease and Affect NF-κB and XBP1 Binding Sites
PTGER4 Expression-Modulating Polymorphisms in the 5p13.1 Region Predispose to Crohn's Disease and Affect NF-κB and XBP1 Binding Sites
Jürgen Glas, Julia Seiderer, Darina Czamara, Giulia Pasciuto, Julia Diegelmann, …, Jean-Paul Achkar, M. Ilyas Kamboh, Andre Franke, Richard H. Duerr, Stephan Brand
PLoS ONE  ·  27 Dec 2012  ·  doi:10.1371/journal.pone.0052873
Gene-Centric Meta-Analysis of Lipid Traits in African, East Asian and Hispanic Populations
Gene-Centric Meta-Analysis of Lipid Traits in African, East Asian and Hispanic Populations
Clara C. Elbers, Yiran Guo, Vinicius Tragante, Erik P. A. van Iperen, Matthew B. Lanktree, …, Suthesh Sivapalaratnam, Folkert W. Asselbergs, Fotios Drenos, James G. Wilson, Brendan J. Keating
PLoS ONE  ·  07 Dec 2012  ·  doi:10.1371/journal.pone.0050198
Genetic association between APOE 4 and neuropsychiatric symptoms in patients with probable Alzheimer s disease is dependent on the psychosis phenotype
Genetic association between APOE*4 and neuropsychiatric symptoms in patients with probable Alzheimer's disease is dependent on the psychosis phenotype
Drew Christie, Jane Shofer, Steven P Millard, Ellen Li, Mary Ann DeMichele-Sweet, Elise A Weamer, M Ilyas Kamboh, Oscar L Lopez, Robert A Sweet, Debby Tsuang
Behavioral and Brain Functions  ·  01 Dec 2012  ·  doi:10.1186/1744-9081-8-62
Genome-wide association study of Alzheimer s disease
Genome-wide association study of Alzheimer's disease
M I Kamboh, F Y Demirci, X Wang, R L Minster, M M Carrasquillo, …, M Ganguli, E Feingold, S T DeKosky, O L Lopez, M M Barmada
Translational Psychiatry  ·  15 May 2012  ·  doi:10.1038/tp.2012.45
Association of CLU and PICALM variants with Alzheimer s disease
Association of CLU and PICALM variants with Alzheimer's disease
M. Ilyas Kamboh, Ryan L. Minster, F. Yesim Demirci, Mary Ganguli, Steven T. DeKosky, Oscar L. Lopez, M. Michael Barmada
Neurobiology of Aging  ·  01 Mar 2012  ·  doi:10.1016/j.neurobiolaging.2010.04.015
Beta-amyloid toxicity modifier genes and the risk of Alzheimer s disease
Beta-amyloid toxicity modifier genes and the risk of Alzheimer's disease
Samantha L Rosenthal, Xingbin Wang, F Yesim Demirci, Michael M Barmada, Mary Ganguli, Oscar L Lopez, M Ilyas Kamboh
American journal of neurodegenerative disease  ·  01 Jan 2012  ·  pmc:PMC3560458
Population-Based Resequencing of LIPG and ZNF202 Genes in Subjects with Extreme HDL Levels
Population-Based Resequencing of LIPG and ZNF202 Genes in Subjects with Extreme HDL Levels
Hamid Razzaghi, Stephanie A. Santorico, M. Ilyas Kamboh
Frontiers in Genetics  ·  01 Jan 2012  ·  doi:10.3389/fgene.2012.00089

2011

TOMM40 poly-T repeat lengths, age of onset and psychosis risk in Alzheimer disease
TOMM40 poly-T repeat lengths, age of onset and psychosis risk in Alzheimer disease
Su Hee Chu, Kathryn Roeder, Robert E. Ferrell, Bernie Devlin, Mary Ann A. DeMichele-Sweet, M. Ilyas Kamboh, Oscar L. Lopez, Robert A. Sweet
Neurobiology of Aging  ·  01 Dec 2011  ·  doi:10.1016/j.neurobiolaging.2011.06.016
Chronic traumatic encephalopathy in an Iraqi war veteran with posttraumatic stress disorder who committed suicide
Chronic traumatic encephalopathy in an Iraqi war veteran with posttraumatic stress disorder who committed suicide
Bennet Omalu, Jennifer L. Hammers, Julian Bailes, Ronald L. Hamilton, M. Ilyas Kamboh, Garrett Webster, Robert P. Fitzsimmons
Neurosurgical Focus  ·  01 Nov 2011  ·  doi:10.3171/2011.9.FOCUS11178
Genome-wide association study of Alzheimer s disease with psychotic symptoms
Genome-wide association study of Alzheimer's disease with psychotic symptoms
P Hollingworth, R Sweet, R Sims, D Harold, G Russo, …, M J Owen, M C O’Donovan, R Mayeux, M I Kamboh, J Williams
Molecular Psychiatry  ·  18 Oct 2011  ·  doi:10.1038/mp.2011.125
Genome-wide association analysis of age-at-onset in Alzheimer s disease
Genome-wide association analysis of age-at-onset in Alzheimer's disease
M I Kamboh, M M Barmada, F Y Demirci, R L Minster, M M Carrasquillo, …, A J Saykin, R A Sweet, E Feingold, S T DeKosky, O L Lopez
Molecular Psychiatry  ·  18 Oct 2011  ·  doi:10.1038/mp.2011.135
Emerging Histomorphologic Phenotypes of Chronic Traumatic Encephalopathy in American Athletes
Emerging Histomorphologic Phenotypes of Chronic Traumatic Encephalopathy in American Athletes
Bennet Omalu, Julian Bailes, Ronald L Hamilton, M Ilyas Kamboh, Jennifer Hammers, Mary Case, Robert Fitzsimmons
Neurosurgery  ·  01 Jul 2011  ·  doi:10.1227/NEU.0b013e318212bc7b
Genome-Wide Linkage Scan to Identify Loci Associated with Type 2 Diabetes and Blood Lipid Phenotypes in the Sikh Diabetes Study
Genome-Wide Linkage Scan to Identify Loci Associated with Type 2 Diabetes and Blood Lipid Phenotypes in the Sikh Diabetes Study
Dharambir K. Sanghera, Latonya F. Been, Sarju Ralhan, Gurpreet S. Wander, Narinder K. Mehra, Jai Rup Singh, Robert E. Ferrell, Mohammed I. Kamboh, Christopher E. Aston
PLoS ONE  ·  16 Jun 2011  ·  doi:10.1371/journal.pone.0021188
APOE and Alzheimer disease: a major gene with semi-dominant inheritance
APOE and Alzheimer disease: a major gene with semi-dominant inheritance
E Genin, D Hannequin, D Wallon, K Sleegers, M Hiltunen, …, M I Kamboh, C Van Broeckhoven, J C Lambert, P Amouyel, D Campion
Molecular Psychiatry  ·  10 May 2011  ·  doi:10.1038/mp.2011.52
Replication study of genome wide associated SNPs with late onset Alzheimer s disease
Replication study of genome‐wide associated SNPs with late‐onset Alzheimer's disease
L.C. Burns, R.L. Minster, F.Y. Demirci, M.M. Barmada, M. Ganguli, O.L. Lopez, S.T. DeKosky, M.I. Kamboh
American Journal of Medical Genetics Part B: Neuropsychiatric Genetics  ·  07 Apr 2011  ·  doi:10.1002/ajmg.b.31194
Common variants at MS4A4 MS4A6E, CD2AP, CD33 and EPHA1 are associated with late-onset Alzheimer s disease
Common variants at MS4A4/MS4A6E, CD2AP, CD33 and EPHA1 are associated with late-onset Alzheimer's disease
Adam C Naj, Gyungah Jun, Gary W Beecham, Li-San Wang, Badri Narayan Vardarajan, …, Jonathan L Haines, Richard Mayeux, Margaret A Pericak-Vance, Lindsay A Farrer, Gerard D Schellenberg
Nature Genetics  ·  03 Apr 2011  ·  doi:10.1038/ng.801
Differential Genetic Associations for Systemic Lupus Erythematosus Based on Anti dsDNA Autoantibody Production
Differential Genetic Associations for Systemic Lupus Erythematosus Based on Anti–dsDNA Autoantibody Production
Sharon A. Chung, Kimberly E. Taylor, Robert R. Graham, Joanne Nititham, Annette T. Lee, …, Susan Manzi, Peter K. Gregersen, Carl D. Langefeld, Timothy W. Behrens, Lindsey A. Criswell
PLoS Genetics  ·  03 Mar 2011  ·  doi:10.1371/journal.pgen.1001323
Risk Alleles for Systemic Lupus Erythematosus in a Large Case-Control Collection and Associations with Clinical Subphenotypes
Risk Alleles for Systemic Lupus Erythematosus in a Large Case-Control Collection and Associations with Clinical Subphenotypes
Kimberly E. Taylor, Sharon A. Chung, Robert R. Graham, Ward A. Ortmann, Annette T. Lee, …, Michelle Petri, Susan Manzi, Peter K. Gregersen, Timothy W. Behrens, Lindsey A. Criswell
PLoS Genetics  ·  17 Feb 2011  ·  doi:10.1371/journal.pgen.1001311
Functional Polymorphisms of the Coagulation Factor II Gene i F2 i and Susceptibility to Systemic Lupus Erythematosus
Functional Polymorphisms of the Coagulation Factor II Gene (F2) and Susceptibility to Systemic Lupus Erythematosus
F. YESIM K. DEMIRCI, AMY S. DRESSEN, CANDACE M. KAMMERER, M. MICHAEL BARMADA, AMY H. KAO, ROSALIND RAMSEY-GOLDMAN, SUSAN MANZI, M. ILYAS KAMBOH
The Journal of Rheumatology  ·  15 Jan 2011  ·  doi:10.3899/jrheum.100728
Association analysis of PON2 genetic variants with serum paraoxonase activity and systemic lupus erythematosus
Association analysis of PON2 genetic variants with serum paraoxonase activity and systemic lupus erythematosus
Sudeshna Dasgupta, F Yesim Demirci, Amy S Dressen, Amy H Kao, Elisa Y Rhew, Rosalind Ramsey-Goldman, Susan Manzi, Candace M Kammerer, M Ilyas Kamboh
BMC Medical Genetics  ·  11 Jan 2011  ·  doi:10.1186/1471-2350-12-7
Maintenance Treatment of Depression in Old Age
Maintenance Treatment of Depression in Old Age
Charles F. Reynolds, Meryl A. Butters, Oscar Lopez, Bruce G. Pollock, Mary Amanda Dew, …, Katalin Szanto, Salem Bensasi, Daniel I. Kaufer, M. Ilyas Kamboh, Steven T. DeKosky
Archives of General Psychiatry  ·  03 Jan 2011  ·  doi:10.1001/archgenpsychiatry.2010.184
Meta-analysis of the Association Between Variants in SORL1 and Alzheimer Disease
Meta-analysis of the Association Between Variants in SORL1 and Alzheimer Disease
Christiane Reitz
Archives of Neurology  ·  01 Jan 2011  ·  doi:10.1001/archneurol.2010.346

2010

APOE genetic associations with seizure development after severe traumatic brain injury
APOE genetic associations with seizure development after severe traumatic brain injury
Megan A. Miller, Yvette Conley, Joelle M. Scanlon, Dianxu Ren, M. Ilyas Kamboh, Christian Niyonkuru, Amy K. Wagner
Brain Injury  ·  20 Oct 2010  ·  doi:10.3109/02699052.2010.520299
The CALHM1 P86L Polymorphism is a Genetic Modifier of Age at Onset in Alzheimer s Disease: a Meta-Analysis Study
The CALHM1 P86L Polymorphism is a Genetic Modifier of Age at Onset in Alzheimer's Disease: a Meta-Analysis Study
Jean-Charles Lambert, Kristel Sleegers, Antonio González-Pérez, Martin Ingelsson, Gary W. Beecham, …, Christine Van Broeckhoven, Annick Alpérovitch, Agustin Ruiz, M. Ilyas Kamboh, Philippe Amouyel
Journal of Alzheimer's Disease  ·  28 Sep 2010  ·  doi:10.3233/JAD-2010-100933
Is the Urea Cycle Involved in Alzheimer s Disease
Is the Urea Cycle Involved in Alzheimer's Disease?
Franck Hansmannel, Adeline Sillaire, M. Ilyas Kamboh, Corinne Lendon, Florence Pasquier, …, Claudine Berr, David Mann, Philippe Amouyel, Dominique Campion, Jean-Charles Lambert
Journal of Alzheimer's Disease  ·  02 Sep 2010  ·  doi:10.3233/JAD-2010-100630
Association of Three Lipoprotein Lipase Polymorphisms with Coronary Artery Disease in Chinese and Asian Indians
Association of Three Lipoprotein Lipase Polymorphisms with Coronary Artery Disease in Chinese and Asian Indians
Chew-Kiat Heng, Xuelian He, Nilmani Saha, Poh S. Low, F. Yesim Demirci, M. Ilyas Kamboh
International Journal of Cardiology  ·  01 Sep 2010  ·  doi:10.1016/j.ijcard.2008.12.121
Chronic traumatic encephalopathy CTE in a National Football League Player
Chronic traumatic encephalopathy (CTE) in a National Football League Player
Bennet I. Omalu, Ronald L. Hamilton, Ilyas M. Kamboh, Steven T. DeKosky, Julian Bailes
Journal of Forensic Nursing  ·  01 Mar 2010  ·  doi:10.1111/j.1939-3938.2009.01064.x
Functional and genetic characterization of the promoter region of apolipoprotein H β sub 2 sub glycoprotein I
Functional and genetic characterization of the promoter region of apolipoprotein H (β2‐glycoprotein I)
Sangita Suresh, F. Yesim Demirci, Iliya Lefterov, Candace M. Kammerer, Rosalind Ramsey‐Goldman, Susan Manzi, M. Ilyas Kamboh
The FEBS Journal  ·  27 Jan 2010  ·  doi:10.1111/j.1742-4658.2009.07538.x
A Likelihood-Based Approach for Missing Genotype Data
A Likelihood-Based Approach for Missing Genotype Data
Gina M. D’Angelo, M. Ilyas Kamboh, Eleanor Feingold
Human Heredity  ·  01 Jan 2010  ·  doi:10.1159/000273732

2009

Sexually dimorphic effect of the Val66Met polymorphism of i BDNF i on susceptibility to Alzheimer s disease: New data and meta analysis
Sexually dimorphic effect of the Val66Met polymorphism of BDNF on susceptibility to Alzheimer's disease: New data and meta‐analysis
Noriko Fukumoto, Takashi Fujii, Onofre Combarros, M. Ilyas Kamboh, Shin‐Jen Tsai, …, Juha Rinne, Yu‐ichi Goto, Takashi Asada, Shun Nakamura, Hiroshi Kunugi
American Journal of Medical Genetics Part B: Neuropsychiatric Genetics  ·  21 Dec 2009  ·  doi:10.1002/ajmg.b.30986
Association of a Common lt;i gt;G6PC2 lt; i gt; Variant with Fasting Plasma Glucose Levels in Non-Diabetic Individuals
Association of a Common <i>G6PC2</i> Variant with Fasting Plasma Glucose Levels in Non-Diabetic Individuals
F.Y. Demirci, A.S. Dressen, R.F. Hamman, C.H. Bunker, C.M. Kammerer, M.I. Kamboh
Annals of Nutrition and Metabolism  ·  18 Dec 2009  ·  doi:10.1159/000268019
Identification and characterization of a novel 5 bp deletion in a putative insulin response element in the lipoprotein lipase gene
Identification and characterization of a novel 5 bp deletion in a putative insulin response element in the lipoprotein lipase gene
Li-Xia Yang, Hamid Razzaghi, John E. Hokanson, M. Ilyas Kamboh
Biochimica et Biophysica Acta (BBA) - Molecular and Cell Biology of Lipids  ·  01 Nov 2009  ·  doi:10.1016/j.bbalip.2009.06.003
No association of DAPK1 and ABCA2 SNPs on chromosome 9 with Alzheimer s disease
No association of DAPK1 and ABCA2 SNPs on chromosome 9 with Alzheimer's disease
Ryan L. Minster, Steven T. DeKosky, M. Ilyas Kamboh
Neurobiology of Aging  ·  01 Nov 2009  ·  doi:10.1016/j.neurobiolaging.2008.01.006
Evidence supporting a role for the calcium sensing receptor in Alzheimer disease
Evidence supporting a role for the calcium‐sensing receptor in Alzheimer disease
Yvette P. Conley, Ankur Mukherjee, Candace Kammerer, Steven T. DeKosky, M. Ilyas Kamboh, David N. Finegold, Robert E. Ferrell
American Journal of Medical Genetics Part B: Neuropsychiatric Genetics  ·  15 Jun 2009  ·  doi:10.1002/ajmg.b.30896
No association between i CALHM1 i variation and risk of Alzheimer disease
No association betweenCALHM1variation and risk of Alzheimer disease
Ryan L. Minster, F. Yesim Demirci, Steven T. DeKosky, M. Ilyas Kamboh
Human Mutation  ·  01 Apr 2009  ·  doi:10.1002/humu.20989
Transcriptomic and genetic studies identify IL-33 as a candidate gene for Alzheimer s disease
Transcriptomic and genetic studies identify IL-33 as a candidate gene for Alzheimer's disease
J Chapuis, D Hot, F Hansmannel, O Kerdraon, S Ferreira, …, C Lendon, A Alpérovitch, M I Kamboh, P Amouyel, J C Lambert
Molecular Psychiatry  ·  10 Feb 2009  ·  doi:10.1038/mp.2009.10
Apolipoprotein H Promoter Polymorphisms in Relation to Lupus and Lupus-related Phenotypes
Apolipoprotein H Promoter Polymorphisms in Relation to Lupus and Lupus-related Phenotypes
SANGITA SURESH, F. YESIM K. DEMIRCI, ERIN JACOBS, AMY H. KAO, ELISA Y. RHEW, …, FRANKLIN A. BONTEMPO, CANDACE M. KAMMERER, ROSALIND RAMSEY-GOLDMAN, SUSAN MANZI, M. ILYAS KAMBOH
The Journal of Rheumatology  ·  01 Feb 2009  ·  doi:10.3899/jrheum.080482

2008

Genetic Variation in C-Reactive Protein CRP Gene May Be Associated with Risk of Systemic Lupus Erythematosus and CRP Concentrations
Genetic Variation in C-Reactive Protein (CRP) Gene May Be Associated with Risk of Systemic Lupus Erythematosus and CRP Concentrations
P. BETTY SHIH, SUSAN MANZI, PENNY SHAW, MARGARET KENNEY, AMY H. KAO, FRANKLIN BONTEMPO, M. MICHAEL BARMADA, CANDACE KAMMERER, M. ILYAS KAMBOH
The Journal of Rheumatology  ·  01 Nov 2008  ·  doi:10.3899/jrheum.080262
No association of dynamin binding protein DNMBP gene SNPs and Alzheimer s disease
No association of dynamin binding protein (DNMBP) gene SNPs and Alzheimer's disease
Ryan L. Minster, Steven T. DeKosky, M. Ilyas Kamboh
Neurobiology of Aging  ·  01 Oct 2008  ·  doi:10.1016/j.neurobiolaging.2007.03.010
Association studies of 22 candidate SNPs with late onset Alzheimer s disease
Association studies of 22 candidate SNPs with late‐onset Alzheimer's disease
Jessica A. Figgins, Ryan L. Minster, F. Yesim Demirci, Steven T. DeKosky, M. Ilyas Kamboh
American Journal of Medical Genetics Part B: Neuropsychiatric Genetics  ·  08 Sep 2008  ·  doi:10.1002/ajmg.b.30851
Multiple polymorphisms in the TNFAIP3 region are independently associated with systemic lupus erythematosus
Multiple polymorphisms in the TNFAIP3 region are independently associated with systemic lupus erythematosus
Stacy L Musone, Kimberly E Taylor, Timothy T Lu, Joanne Nititham, Ricardo C Ferreira, …, Peter K Gregersen, Timothy W Behrens, Averil Ma, Pui-Yan Kwok, Lindsey A Criswell
Nature Genetics  ·  01 Aug 2008  ·  doi:10.1038/ng.202
No association of SORL1 SNPs with Alzheimer s disease
No association of SORL1 SNPs with Alzheimer's disease
Ryan L. Minster, Steven T. DeKosky, M. Ilyas Kamboh
Neuroscience Letters  ·  01 Aug 2008  ·  doi:10.1016/j.neulet.2008.05.082
Impact of nine common type 2 diabetes risk polymorphisms in Asian Indian Sikhs: PPARG2 Pro12Ala , IGF2BP2, TCF7L2 and FTOvariants confer a significant risk
Impact of nine common type 2 diabetes risk polymorphisms in Asian Indian Sikhs: PPARG2 (Pro12Ala), IGF2BP2, TCF7L2 and FTOvariants confer a significant risk
Dharambir K Sanghera, Lyda Ortega, Shizhong Han, Jairup Singh, Sarju K Ralhan, …, Narinder K Mehra, John J Mulvihill, Robert E Ferrell, Swapan K Nath, Mohammed I Kamboh
BMC Medical Genetics  ·  03 Jul 2008  ·  doi:10.1186/1471-2350-9-59
Specificity of the STAT4 Genetic Association for Severe Disease Manifestations of Systemic Lupus Erythematosus
Specificity of the STAT4 Genetic Association for Severe Disease Manifestations of Systemic Lupus Erythematosus
Kimberly E. Taylor, Elaine F. Remmers, Annette T. Lee, Ward A. Ortmann, Robert M. Plenge, …, Daniel L. Kastner, Michael F. Seldin, Peter K. Gregersen, Timothy W. Behrens, Lindsey A. Criswell
PLoS Genetics  ·  30 May 2008  ·  doi:10.1371/journal.pgen.1000084
i TCF7L2 i Polymorphisms are Associated with Type 2 Diabetes in Khatri Sikhs from North India: i Genetic Variation Affects Lipid Levels i
TCF7L2 Polymorphisms are Associated with Type 2 Diabetes in Khatri Sikhs from North India: Genetic Variation Affects Lipid Levels
D. K. Sanghera, S. K. Nath, L. Ortega, M. Gambarelli, X. Kim‐Howard, …, S. K. Ralhan, G. S. Wander, N. K. Mehra, J. J. Mulvihill, M. I. Kamboh
Annals of Human Genetics  ·  06 Apr 2008  ·  doi:10.1111/j.1469-1809.2008.00443.x
Recombinant hepatitis B surface antigen and anionic phospholipids share a binding region in the fifth domain of β2-glycoprotein I apolipoprotein H
Recombinant hepatitis B surface antigen and anionic phospholipids share a binding region in the fifth domain of β2-glycoprotein I (apolipoprotein H)
Haider Mehdi, Asma Naqvi, M. Ilyas Kamboh
Biochimica et Biophysica Acta (BBA) - Molecular Basis of Disease  ·  01 Mar 2008  ·  doi:10.1016/j.bbadis.2008.01.001
Association of Systemic Lupus Erythematosus with i C8orf13 BLK i and i ITGAM ITGAX i
Association of Systemic Lupus Erythematosus with C8orf13–BLK and ITGAM–ITGAX
Geoffrey Hom, Robert R. Graham, Barmak Modrek, Kimberly E. Taylor, Ward Ortmann, …, Lars Rönnblom, Ann-Christine Syvänen, Lindsey A. Criswell, Peter K. Gregersen, Timothy W. Behrens
New England Journal of Medicine  ·  28 Feb 2008  ·  doi:10.1056/NEJMoa0707865
Genetic Variation in the i Paraoxonase 3 PON3 i Gene is Associated with Serum PON1 Activity
Genetic Variation in the Paraoxonase‐3 (PON3) Gene is Associated with Serum PON1 Activity
Dharambir K. Sanghera, Susan Manzi, Ryan L. Minster, Penny Shaw, Amy Kao, Franklin Bontempo, M. Ilyas Kamboh
Annals of Human Genetics  ·  01 Jan 2008  ·  doi:10.1111/j.1469-1809.2007.00400.x

2007

Gender-specific association of ATP-binding cassette transporter 1 ABCA1 polymorphisms with the risk of late-onset Alzheimer s disease
Gender-specific association of ATP-binding cassette transporter 1 (ABCA1) polymorphisms with the risk of late-onset Alzheimer's disease
Purnima Desai Sundar, Eleanor Feingold, Ryan L. Minster, Steven T. DeKosky, M. Ilyas Kamboh
Neurobiology of Aging  ·  01 Jun 2007  ·  doi:10.1016/j.neurobiolaging.2006.04.005
Apolipoprotein E4 Allele Presence and Functional Outcome after Severe Traumatic Brain Injury
Apolipoprotein E4 Allele Presence and Functional Outcome after Severe Traumatic Brain Injury
Sheila Alexander, Mary E. Kerr, Yookyung Kim, M. Ilyas Kamboh, Sue R. Beers, Yvette P. Conley
Journal of Neurotrauma  ·  01 May 2007  ·  doi:10.1089/neu.2006.0133
Evidence for the association of the S100β gene with low cognitive performance and dementia in the elderly
Evidence for the association of the S100β gene with low cognitive performance and dementia in the elderly
J-C Lambert, S Ferreira, J Gussekloo, L Christiansen, G Brysbaert, …, M Ilyas Kamboh, D Mann, K Christensen, R Westendorp, P Amouyel
Molecular Psychiatry  ·  06 Mar 2007  ·  doi:10.1038/sj.mp.4001974

2006

Association of a Common Interferon Regulatory Factor 5 i IRF5 i Variant with Increased Risk of Systemic Lupus Erythematosus SLE
Association of a Common Interferon Regulatory Factor 5 (IRF5) Variant with Increased Risk of Systemic Lupus Erythematosus (SLE)
F. Y. K. Demirci, S. Manzi, R. Ramsey‐Goldman, R. L. Minster, M. Kenney, …, A. H. Kao, E. Rhew, F. Bontempo, C. Kammerer, M. I. Kamboh
Annals of Human Genetics  ·  12 Dec 2006  ·  doi:10.1111/j.1469-1809.2006.00336.x
Lack of association of two chromosome 10q24 SNPs with Alzheimer s disease
Lack of association of two chromosome 10q24 SNPs with Alzheimer's disease
Ryan L. Minster, Steven T. DeKosky, M. Ilyas Kamboh
Neuroscience Letters  ·  01 Nov 2006  ·  doi:10.1016/j.neulet.2006.08.081
CHRONIC TRAUMATIC ENCEPHALOPATHY IN A NATIONAL FOOTBALL LEAGUE PLAYER
CHRONIC TRAUMATIC ENCEPHALOPATHY IN A NATIONAL FOOTBALL LEAGUE PLAYER
Bennet I. Omalu, Steven T. DeKosky, Ronald L. Hamilton, Ryan L. Minster, M. Ilyas Kamboh, Abdulrezak M. Shakir, Cyril H. Wecht
Neurosurgery  ·  01 Nov 2006  ·  doi:10.1227/01.NEU.0000245601.69451.27
Alpha-1-antichymotrypsin ACT or SERPINA3 polymorphism may affect age-at-onset and disease duration of Alzheimer s disease
Alpha-1-antichymotrypsin (ACT or SERPINA3) polymorphism may affect age-at-onset and disease duration of Alzheimer's disease
M. Ilyas Kamboh, Ryan L. Minster, Margaret Kenney, Ayla Ozturk, Purnima P. Desai, Candace M. Kammerer, Steven T. DeKosky
Neurobiology of Aging  ·  01 Oct 2006  ·  doi:10.1016/j.neurobiolaging.2005.07.015
Lack of association of 5 SNPs in the vicinity of the insulin-degrading enzyme IDE gene with late-onset Alzheimer s disease
Lack of association of 5 SNPs in the vicinity of the insulin-degrading enzyme (IDE) gene with late-onset Alzheimer's disease
Ayla Ozturk, Steven T. DeKosky, M. Ilyas Kamboh
Neuroscience Letters  ·  01 Oct 2006  ·  doi:10.1016/j.neulet.2006.07.054
Genetic variation in the choline acetyltransferase CHAT gene may be associated with the risk of Alzheimer s disease
Genetic variation in the choline acetyltransferase (CHAT) gene may be associated with the risk of Alzheimer's disease
Ayla Ozturk, Steven T. DeKosky, M. Ilyas Kamboh
Neurobiology of Aging  ·  01 Oct 2006  ·  doi:10.1016/j.neurobiolaging.2005.08.024
Association of tagSNPs in the urokinase plasminogen activator PLAU gene with Alzheimer s disease and associated quantitative traits
Association of tagSNPs in the urokinase‐plasminogen activator (PLAU) gene with Alzheimer's disease and associated quantitative traits
Ayla Ozturk, Ryan L. Minster, Steven T. DeKosky, M. Ilyas Kamboh
American Journal of Medical Genetics Part B: Neuropsychiatric Genetics  ·  11 Sep 2006  ·  doi:10.1002/ajmg.b.30403
Relationship of serum paraoxonase 1 activity and paraoxonase 1 genotype to risk of systemic lupus erythematosus
Relationship of serum paraoxonase 1 activity and paraoxonase 1 genotype to risk of systemic lupus erythematosus
Laura M. Tripi, Susan Manzi, Qi Chen, Margaret Kenney, Penny Shaw, Amy Kao, Franklin Bontempo, Candace Kammerer, M. Ilyas Kamboh
Arthritis & Rheumatism  ·  25 May 2006  ·  doi:10.1002/art.21889
The Khatri Sikh Diabetes Study SDS : Study Design, Methodology, Sample Collection, and Initial Results
The Khatri Sikh Diabetes Study (SDS): Study Design, Methodology, Sample Collection, and Initial Results
Dharambir K. Sanghera, Jaswinder S. Bhatti, Gurjit K. Bhatti, Sarju K. Ralhan, Gurpreet S. Wander, Jai Rup Singh, Clareann H. Bunker, Daniel E. Weeks, M. Ilyas Kamboh, Robert E. Ferrell
Human Biology  ·  01 Jan 2006  ·  doi:10.1353/hub.2006.0027

2005

Genetic association of ubiquilin with Alzheimer s disease and related quantitative measures
Genetic association of ubiquilin with Alzheimer's disease and related quantitative measures
M I Kamboh, R L Minster, E Feingold, S T DeKosky
Molecular Psychiatry  ·  22 Nov 2005  ·  doi:10.1038/sj.mp.4001775
Apolipoprotein D is a component of compact but not diffuse amyloid-beta plaques in Alzheimer s disease temporal cortex
Apolipoprotein D is a component of compact but not diffuse amyloid-beta plaques in Alzheimer's disease temporal cortex
Purnima P. Desai, Milos D. Ikonomovic, Eric E. Abrahamson, Ronald L. Hamilton, Barbara A. Isanski, Caroline E. Hope, William E. Klunk, Steven T. DeKosky, M. Ilyas Kamboh
Neurobiology of Disease  ·  01 Nov 2005  ·  doi:10.1016/j.nbd.2005.04.012
Complete DNA Sequence Variation in the Apolipoprotein H b β b sub b 2 b sub glycoprotein I Gene and Identification of Informative SNPs
Complete DNA Sequence Variation in the Apolipoprotein H (β2‐glycoprotein I) Gene and Identification of Informative SNPs
Qi Chen, M. Ilyas Kamboh
Annals of Human Genetics  ·  31 Oct 2005  ·  doi:10.1111/j.1529-8817.2005.00211.x
Three SNPs in the GSTO1, GSTO2 and PRSS11 genes on chromosome 10 are not associated with age-at-onset of Alzheimer s disease
Three SNPs in the GSTO1, GSTO2 and PRSS11 genes on chromosome 10 are not associated with age-at-onset of Alzheimer's disease
Ayla Ozturk, Purnima P. Desai, Ryan L. Minster, Steven T. DeKosky, M. Ilyas Kamboh
Neurobiology of Aging  ·  01 Aug 2005  ·  doi:10.1016/j.neurobiolaging.2004.11.001
Investigation of the effect of brain-derived neurotrophic factor BDNF polymorphisms on the risk of late-onset Alzheimer s disease AD and quantitative measures of AD progression
Investigation of the effect of brain-derived neurotrophic factor (BDNF) polymorphisms on the risk of late-onset Alzheimer's disease (AD) and quantitative measures of AD progression
Purnima Desai, Robert Nebes, Steven T. DeKosky, M. Ilyas Kamboh
Neuroscience Letters  ·  01 May 2005  ·  doi:10.1016/j.neulet.2005.01.008
Genetic association between the i APOE i i 4 i allele and Lewy bodies in Alzheimer disease
Genetic association between the APOE * 4 allele and Lewy bodies in Alzheimer disease
D. W. Tsuang, R. K. Wilson, O. L. Lopez, E. K. Luedecking-Zimmer, J. B. Leverenz, S. T. DeKosky, M. I. Kamboh, R. L. Hamilton
Neurology  ·  08 Feb 2005  ·  doi:10.1212/01.WNL.0000150892.81839.D1

2004

Molecular Genetics of Late Onset Alzheimer s Disease
Molecular Genetics of Late‐Onset Alzheimer's Disease
M. Ilyas Kamboh
Annals of Human Genetics  ·  28 Jun 2004  ·  doi:10.1046/j.1529-8817.2004.00110.x

2003

Functional analysis of plasma α2-macroglobulin from Alzheimer s disease patients with the A2M intronic deletion
Functional analysis of plasma α2-macroglobulin from Alzheimer's disease patients with the A2M intronic deletion
Caroline Hope, Joseph Mettenburg, Steven L Gonias, Steven T DeKosky, M.Ilyas Kamboh, Charleen T Chu
Neurobiology of Disease  ·  01 Dec 2003  ·  doi:10.1016/j.nbd.2003.08.005
APOE is associated with age of onset, but not cognitive functioning, in late life depression
APOE is associated with age‐of‐onset, but not cognitive functioning, in late‐life depression
Meryl A. Butters, Robert A. Sweet, Benoit H. Mulsant, M. Ilyas Kamboh, Bruce G. Pollock, Amy E. Begley, Charles F. Reynolds, , Steven T. DeKosky
International Journal of Geriatric Psychiatry  ·  01 Dec 2003  ·  doi:10.1002/gps.1006
Effects of the Hepatic Lipase Gene and Physical Activity on Coronary Heart Disease Risk
Effects of the Hepatic Lipase Gene and Physical Activity on Coronary Heart Disease Risk
John E. Hokanson, M. Ilyas Kamboh, Sharon Scarboro, Robert H. Eckel, Richard F. Hamman
American Journal of Epidemiology  ·  01 Nov 2003  ·  doi:10.1093/aje/kwg230
Relationship between apoE4 allele and excitatory amino acid levels after traumatic brain injury
Relationship between apoE4 allele and excitatory amino acid levels after traumatic brain injury
Mary E. Kerr, M. Ilyas Kamboh, Kim Yookyung, Marilyn F. Kraus, Ava M. Puccio, Steven T. DeKosky, Donald W. Marion
Critical Care Medicine  ·  01 Sep 2003  ·  doi:10.1097/01.CCM.0000080484.72004.C4
Genetic Variation in Lectin-Like Oxidized Low-Density Lipoprotein Receptor 1 LOX1 Gene and the Risk of Coronary Artery Disease
Genetic Variation in Lectin-Like Oxidized Low-Density Lipoprotein Receptor 1 (LOX1) Gene and the Risk of Coronary Artery Disease
Qi Chen, Steven E. Reis, Candace Kammerer, Wendy Y. Craig, Sue E. LaPierre, …, Richard Holubkov, C. Noel Bairey Merz, George Sopko, Franklin Bontempo, M. Ilyas Kamboh
Circulation  ·  01 Jul 2003  ·  doi:10.1161/01.CIR.0000074207.85796.36
APOE polymorphism and angiographic coronary artery disease severity in the Women s Ischemia Syndrome Evaluation WISE study
APOE polymorphism and angiographic coronary artery disease severity in the Women's Ischemia Syndrome Evaluation (WISE) study
Qi Chen, Steven E. Reis, Candace M. Kammerer, Dennis M. McNamara, Richard Holubkov, …, George Sopko, Daniel F. Pauly, C.Noel Bairey Merz, M.Ilyas Kamboh, WISE study group
Atherosclerosis  ·  01 Jul 2003  ·  doi:10.1016/S0021-9150(03)00160-6
Association of 3 -UTR polymorphisms of the oxidised LDL receptor 1 i OLR1 i gene with Alzheimer s disease
Association of 3′-UTR polymorphisms of the oxidised LDL receptor 1 (OLR1) gene with Alzheimer’s disease
J-C Lambert, E Luedecking-Zimmer, S Merrot, A Hayes, U Thaker, …, S T DeKosky, C Lendon, D Mann, M I Kamboh, P Amouyel
Journal of Medical Genetics  ·  01 Jun 2003  ·  doi:10.1136/jmg.40.6.424
Cladistic Analysis of Human Apolipoprotein A4 Polymorphisms in Relation to Quantitative Plasma Lipid Risk Factors of Coronary Heart Disease
Cladistic Analysis of Human Apolipoprotein A4 Polymorphisms in Relation to Quantitative Plasma Lipid Risk Factors of Coronary Heart Disease
G. Q. Wang, M. DiPietro, K. Roeder, C.‐K. Heng, C. H. Bunker, R. F. Hamman, M. I. Kamboh
Annals of Human Genetics  ·  01 Mar 2003  ·  doi:10.1046/j.1469-1809.2003.00023.x
Association between the Severity of Angiographic Coronary Artery Disease and Paraoxonase Gene Polymorphisms in the National Heart, Lung, and Blood Institute Sponsored Women s Ischemia Syndrome Evaluation WISE Study
Association between the Severity of Angiographic Coronary Artery Disease and Paraoxonase Gene Polymorphisms in the National Heart, Lung, and Blood Institute–Sponsored Women’s Ischemia Syndrome Evaluation (WISE) Study
Qi Chen, Steven E. Reis, Candace M. Kammerer, Dennis M. McNamara, Richard Holubkov, Barry L. Sharaf, George Sopko, Daniel F. Pauly, C. Noel Bairey Merz, M. Ilyas Kamboh
The American Journal of Human Genetics  ·  01 Jan 2003  ·  doi:10.1086/345312
A functional polymorphism at the transcriptional initiation site in β sub 2 sub glycoprotein I apolipoprotein H associated with reduced gene expression and lower plasma levels of β sub 2 sub glycoprotein I
A functional polymorphism at the transcriptional initiation site in β2‐glycoprotein I (apolipoprotein H) associated with reduced gene expression and lower plasma levels of β2‐glycoprotein I
Haider Mehdi, Susan Manzi, Purnima Desai, Qi Chen, Cara Nestlerode, Franklin Bontempo, Stephen C. Strom, Reza Zarnegar, M. Ilyas Kamboh
European Journal of Biochemistry  ·  01 Jan 2003  ·  doi:10.1046/j.1432-1033.2003.03379.x

2002

Plasma and cerebrospinal fluid α1 antichymotrypsin levels in Alzheimer s disease: Correlation with cognitive impairment
Plasma and cerebrospinal fluid α1‐antichymotrypsin levels in Alzheimer's disease: Correlation with cognitive impairment
Steven T. DeKosky, Milos D. Ikonomovic, Xiaoyan Wang, Martin Farlow, Stephen Wisniewski, …, Judith Saxton, William E. Klunk, Robert Sweet, Daniel I. Kaufer, M. Ilyas Kamboh
Annals of Neurology  ·  18 Dec 2002  ·  doi:10.1002/ana.10414
Genetic variation in apolipoprotein D affects the risk of Alzheimer disease in African Americans
Genetic variation in apolipoprotein D affects the risk of Alzheimer disease in African‐Americans
Purnima P. Desai, Hugh C. Hendrie, Rebecca M. Evans, Jill R. Murrell, Steven T. DeKosky, M. Ilyas Kamboh
American Journal of Medical Genetics Part B: Neuropsychiatric Genetics  ·  27 Nov 2002  ·  doi:10.1002/ajmg.b.10798
Association of the 3 UTR transcription factor LBP 1c CP2 LSF polymorphism with late onset Alzheimer s disease
Association of the 3′ UTR transcription factor LBP‐1c/CP2/LSF polymorphism with late‐onset Alzheimer's disease
Erin Luedecking‐Zimmer, Steven T. DeKosky, Robert Nebes, M. Ilyas Kamboh
American Journal of Medical Genetics Part B: Neuropsychiatric Genetics  ·  30 Oct 2002  ·  doi:10.1002/ajmg.b.10026
Genetic variation in the apolipoprotein D gene among African blacks and its significance in lipid metabolism
Genetic variation in the apolipoprotein D gene among African blacks and its significance in lipid metabolism
Purnima P. Desai, Clareann H. Bunker, Flora A.M. Ukoli, M.Ilyas Kamboh
Atherosclerosis  ·  01 Aug 2002  ·  doi:10.1016/S0021-9150(02)00012-6
Genetic variation in the cholesterol 24-hydroxylase CYP46 gene and the risk of Alzheimer s disease
Genetic variation in the cholesterol 24-hydroxylase (CYP46) gene and the risk of Alzheimer's disease
Purnima Desai, Steven T. DeKosky, M.Ilyas Kamboh
Neuroscience Letters  ·  01 Aug 2002  ·  doi:10.1016/S0304-3940(02)00443-3
Distribution of plasma α1-antichymotrypsin levels in Alzheimer disease patients and controls and their genetic controls
Distribution of plasma α1-antichymotrypsin levels in Alzheimer disease patients and controls and their genetic controls
Xiaoyan Wang, Steven T DeKosky, Milos D Ikonomovic, M Ilyas Kamboh
Neurobiology of Aging  ·  01 Jun 2002  ·  doi:10.1016/s0197-4580(01)00322-0
The APO E4 allele and cognition in New Mexico Hispanic elderly.
The APO E4 allele and cognition in New Mexico Hispanic elderly.
Linda J Romero, Mark Schuyler, M Ilyas Kamboh, Clifford Qualls, Asenath LaRue, Hwa Chi Liang, Robert Rhyne
Ethnicity & disease  ·  01 Jan 2002  ·  pubmed:12019933

2001

Structure function analysis of D9N and N291S mutations in human lipoprotein lipase using molecular modelling
Structure–function analysis of D9N and N291S mutations in human lipoprotein lipase using molecular modelling
Hamid Razzaghi, Billy W Day, Richard J McClure, M.Ilyas Kamboh
Journal of Molecular Graphics and Modelling  ·  01 Dec 2001  ·  doi:10.1016/S1093-3263(00)00096-6
Genetic polymorphism in the cathepsin G gene and the risk of Alzheimer s disease
Genetic polymorphism in the cathepsin G gene and the risk of Alzheimer's disease
Tejal J. Bhojak, Steven T. DeKosky, Mary Ganguli, M.Ilyas Kamboh
Neuroscience Letters  ·  01 Aug 2001  ·  doi:10.1016/S0304-3940(01)02033-X
Relationship of Deep White Matter Hyperintensities and Apolipoprotein E Genotype to Depressive Symptoms in Older Adults Without Clinical Depression
Relationship of Deep White Matter Hyperintensities and Apolipoprotein E Genotype to Depressive Symptoms in Older Adults Without Clinical Depression
Robert D. Nebes, Illa J. Vora, Carolyn C. Meltzer, Melanie B. Fukui, Robert L. Williams, M. Ilyas Kamboh, Judith Saxton, Patricia R. Houck, Steven T. DeKosky, Charles F. Reynolds
American Journal of Psychiatry  ·  01 Jun 2001  ·  doi:10.1176/appi.ajp.158.6.878
Lack of association between α2-macroglobulin polymorphisms and Alzheimer s disease
Lack of association between α2-macroglobulin polymorphisms and Alzheimer's disease
Xiaoyan Wang, Erin Luedecking, Ryan Minster, Mary Ganguli, Steven DeKosky, M. Kamboh
Human Genetics  ·  01 Mar 2001  ·  doi:10.1007/s004390000445
Ancestral proportions and admixture dynamics in geographically defined African Americans living in South Carolina
Ancestral proportions and admixture dynamics in geographically defined African Americans living in South Carolina
E.J. Parra, R.A. Kittles, G. Argyropoulos, C.L. Pfaff, K. Hiester, …, P.M. McKeigue, M.I. Kamboh, R.E. Ferrell, W.S. Pollitzer, M.D. Shriver
American Journal of Physical Anthropology  ·  01 Jan 2001  ·  doi:10.1002/1096-8644(200101)114:1<18::AID-AJPA1002>3.0.CO;2-2
Genetic Effect of Two APOA Repeat Polymorphisms Kringle 4 and Pentanucleotide Repeats on Plasma Lp a Levels in American Samoans
Genetic Effect of Two APOA Repeat Polymorphisms (Kringle 4 and Pentanucleotide Repeats) on Plasma Lp(a) Levels in American Samoans
Kristin DePrince, Stephen T. McGarvey, Andrea E. McAllister, Linda Bausserman, Christopher E. Aston, Robert E. Ferrell, M. Ilyas Kamboh
Human Biology  ·  01 Jan 2001  ·  doi:10.1353/hub.2001.0006
Prospective association of lipoprotein a concentrations and apo a size with coronary heart disease among men in the Multiple Risk Factor Intervention Trial
Prospective association of lipoprotein(a) concentrations and apo(a) size with coronary heart disease among men in the Multiple Risk Factor Intervention Trial
Rhobert W Evans, Ofer Shpilberg, B.Jessica Shaten, Shabnam Ali, M.Ilyas Kamboh, Lewis H Kuller
Journal of Clinical Epidemiology  ·  01 Jan 2001  ·  doi:10.1016/S0895-4356(00)00260-2
Population Structure in Admixed Populations: Effect of Admixture Dynamics on the Pattern of Linkage Disequilibrium
Population Structure in Admixed Populations: Effect of Admixture Dynamics on the Pattern of Linkage Disequilibrium
C.L. Pfaff, E.J. Parra, C. Bonilla, K. Hiester, P.M. McKeigue, M.I. Kamboh, R.G. Hutchinson, R.E. Ferrell, E. Boerwinkle, M.D. Shriver
The American Journal of Human Genetics  ·  01 Jan 2001  ·  doi:10.1086/316935

2000

Research evaluation and diagnosis of probable Alzheimer s disease over the last two decades: I
Research evaluation and diagnosis of probable Alzheimer’s disease over the last two decades: I
O.L. Lopez, J.T. Becker, W. Klunk, J. Saxton, R.L. Hamilton, …, R.A. Sweet, C. Cidis Meltzer, S. Wisniewski, M.I. Kamboh, S.T. DeKosky
Neurology  ·  26 Dec 2000  ·  doi:10.1212/WNL.55.12.1854
Genetic association studies of interleukin-1 IL-1A and IL-1B and interleukin-1 receptor antagonist genes and the risk of Alzheimer s disease
Genetic association studies of interleukin-1 (IL-1A and IL-1B) and interleukin-1 receptor antagonist genes and the risk of Alzheimer's disease
Ryan L. Minster, Steven T. DeKosky, Mary Ganguli, Steven Belle, M. Ilyas Kamboh
Annals of Neurology  ·  01 Nov 2000  ·  doi:10.1002/1531-8249(200011)48:5<817::AID-ANA22>3.0.CO;2-S
DNA sequence variation in human apolipoprotein C4 gene and its effect on plasma lipid profile
DNA sequence variation in human apolipoprotein C4 gene and its effect on plasma lipid profile
M.Ilyas Kamboh, Christopher E. Aston, Richard F. Hamman
Atherosclerosis  ·  01 Sep 2000  ·  doi:10.1016/S0021-9150(99)00459-1
Genetic polymorphisms in the cathespin D and interleukin-6 genes and the risk of Alzheimer s disease
Genetic polymorphisms in the cathespin D and interleukin-6 genes and the risk of Alzheimer's disease
Tejal J Bhojak, Steven T DeKosky, Mary Ganguli, M.Ilyas Kamboh
Neuroscience Letters  ·  01 Jul 2000  ·  doi:10.1016/S0304-3940(00)01185-X
Apolipoprotein E Polymorphism and Alzheimer Disease
Apolipoprotein E Polymorphism and Alzheimer Disease
Mary Ganguli, Vijay Chandra, M. Ilyas Kamboh, Janet M. Johnston, Hiroko H. Dodge, B. K. Thelma, Ramesh C. Juyal, Rajesh Pandav, Steven H. Belle, Steven T. DeKosky
Archives of Neurology  ·  01 Jun 2000  ·  doi:10.1001/archneur.57.6.824
Plasma lipoprotein a distribution and its correlates among Samoans.
Plasma lipoprotein(a) distribution and its correlates among Samoans.
M I Kamboh, S T McGarvey, C E Aston, R E Ferrell, L Bausserman
Human biology  ·  01 Apr 2000  ·  pubmed:10803663
Relationships between Cerebrovascular Events, APOE Polymorphism and Alzheimer s Disease in a Community Sample
Relationships between Cerebrovascular Events, APOE Polymorphism and Alzheimer’s Disease in a Community Sample
Janet M. Johnston, Valle Nazar-Stewart, Sheryl F. Kelsey, M. Ilyas Kamboh, Mary Ganguli
Neuroepidemiology  ·  01 Jan 2000  ·  doi:10.1159/000026271
Racial and genetic determinants of plasma factor XIII activity
Racial and genetic determinants of plasma factor XIII activity
Nilmani Saha, Christopher E. Aston, Poh S. Low, M. Ilyas Kamboh
Genetic Epidemiology  ·  01 Jan 2000  ·  doi:10.1002/1098-2272(200012)19:4<440::AID-GEPI14>3.0.CO;2-8

1999

Genetic variation in apolipoprotein H β2-glycoprotein I affects the occurrence of antiphospholipid antibodies and apolipoprotein H concentrations in systemic lupus erythematosus
Genetic variation in apolipoprotein H (β2-glycoprotein I) affects the occurrence of antiphospholipid antibodies and apolipoprotein H concentrations in systemic lupus erythematosus
M Ilyas Kamboh, Susan Manzi, Haider Mehdi, Shirley Fitzgerald, Dharambir K Sanghera, Lewis H Kuller, Christopher E Atson
Lupus  ·  01 Nov 1999  ·  doi:10.1191/096120399678840909
Correlates of lipoprotein a levels in a biracial cohort of young girls: The NHLBI Growth and Health Study
Correlates of lipoprotein(a) levels in a biracial cohort of young girls: The NHLBI Growth and Health Study
Sue Y.S. Kimm, Araxi Pasagian-Macaulay, Christopher E. Aston, Andrea E. McAllister, Nancy W. Glynn, M.Ilyas Kamboh, Robert E. Ferrell
The Journal of Pediatrics  ·  01 Aug 1999  ·  doi:10.1016/S0022-3476(99)70018-1
A novel mutation in the apolipoprotein E gene APOE 4 Pittsburgh is associated with the risk of late-onset Alzheimer s disease
A novel mutation in the apolipoprotein E gene (APOE*4 Pittsburgh) is associated with the risk of late-onset Alzheimer's disease
M.Ilyas Kamboh, Christopher E Aston, Jordi Perez-Tur, Emre Kokmen, Robert E Ferrell, John Hardy, Steven T DeKosky
Neuroscience Letters  ·  01 Mar 1999  ·  doi:10.1016/S0304-3940(99)00129-9
Genetic polymorphism in the persyn γ-synuclein gene and the risk of Alzheimer s disease
Genetic polymorphism in the persyn (γ-synuclein) gene and the risk of Alzheimer's disease
Erin K. Luedecking, Mary Ganguli, Steven T. Dekosky, M.Ilyas Kamboh
Neuroscience Letters  ·  01 Feb 1999  ·  doi:10.1016/S0304-3940(99)00025-7
Structure of the human β sub 2 sub glycoprotein I apolipoprotein H gene
Structure of the human β2‐glycoprotein I (apolipoprotein H) gene*
Henrik Okkels, Thomas E. Rasmussen, Dharambir K. Sanghera, M. Ilyas Kamboh, Torsten Kristensen
European Journal of Biochemistry  ·  01 Jan 1999  ·  doi:10.1046/j.1432-1327.1999.00063.x
Genetic association of five apolipoprotein polymorphisms with serum lipoprotein-lipid levels in African blacks
Genetic association of five apolipoprotein polymorphisms with serum lipoprotein-lipid levels in African blacks
M. Ilyas Kamboh, Clareann H. Bunker, Christopher E. Aston, Cara S. Nestlerode, Andrea E. McAllister, Flora A. Ukoli
Genetic Epidemiology  ·  01 Jan 1999  ·  doi:10.1002/(SICI)1098-2272(1999)16:2<205::AID-GEPI7>3.0.CO;2-P

1998

Dopamine Receptor Genetic Variation, Psychosis, and Aggression in Alzheimer Disease
Dopamine Receptor Genetic Variation, Psychosis, and Aggression in Alzheimer Disease
Robert A. Sweet, Vishwajit L. Nimgaonkar, M. Ilyas Kamboh, Oscar L. Lopez, Feng Zhang, Steven T. DeKosky
Archives of Neurology  ·  01 Oct 1998  ·  doi:10.1001/archneur.55.10.1335
Genetic association of two chromosome 14 genes presenilin 1 and α sub 1 sub Antichymotrypsin with Alzheimer s disease
Genetic association of two chromosome 14 genes (presenilin 1 and α1‐Antichymotrypsin) with Alzheimer's disease
Xiaoyan Wang, Steven T. DeKosky, Stephen Wisniewski, Christopher E. Aston, M. Ilyas Kamboh
Annals of Neurology  ·  01 Sep 1998  ·  doi:10.1002/ana.410440316
Expression of differential immune factors in temporal cortex and cerebellum: The role of -1-antichymotrypsin, apolipoprotein E, and reactive glia in the progression of Alzheimer s disease
Expression of differential immune factors in temporal cortex and cerebellum: The role of ?-1-antichymotrypsin, apolipoprotein E, and reactive glia in the progression of Alzheimer's disease
Scot D. Styren, M. Ilyas Kamboh, Steven T. Dekosky
The Journal of Comparative Neurology  ·  13 Jul 1998  ·  doi:10.1002/(SICI)1096-9861(19980713)396:4<511::AID-CNE7>3.0.CO;2-4
Apolipoprotein A kringle 4 polymorphism and serum lipoprotein a concentrations in African blacks.
Apolipoprotein A kringle 4 polymorphism and serum lipoprotein (a) concentrations in African blacks.
S Ali, C H Bunker, C E Aston, F A Ukoli, M I Kamboh
Human biology  ·  01 Jun 1998  ·  pubmed:9599940
Bleomycin hydrolase is associated with risk of sporadic Alzheimer s disease
Bleomycin hydrolase is associated with risk of sporadic Alzheimer's disease
Susana E. Montoya, Christopher E. Aston, Steven T. DeKosky, M. Ilyas Kamboh, John S. Lazo, Robert E. Ferrell
Nature Genetics  ·  01 Mar 1998  ·  doi:10.1038/ng0398-211
Genetic Polymorphisms of Apolipoproteins A-IV, E and H in Koreans
Genetic Polymorphisms of Apolipoproteins A-IV, E and H in Koreans
Hyun Sup Kim, M. Ilyas Kamboh
Human Heredity  ·  01 Jan 1998  ·  doi:10.1159/000022822
DNA Polymorphisms in Two Paraoxonase Genes PON1 and PON2 Are Associated with the Risk of Coronary Heart Disease
DNA Polymorphisms in Two Paraoxonase Genes (PON1 and PON2) Are Associated with the Risk of Coronary Heart Disease
Dharambir K. Sanghera, Christopher E. Aston, Nilmani Saha, M. Ilyas Kamboh
The American Journal of Human Genetics  ·  01 Jan 1998  ·  doi:10.1086/301669
Apolipoprotein E Polymorphism in Alzheimer s Disease: A Comparative Study of Two Research Populations from Spain and the United States
Apolipoprotein E Polymorphism in Alzheimer’s Disease: A Comparative Study of Two Research Populations from Spain and the United States
Oscar L. Lopez, Secundino Lopez-Pousa, M. Ilyas Kamboh, Rosa Adroer, Rafael Oliva, Manuela Lozano-Gallego, James T. Becker, Steven T. DeKosky
European Neurology  ·  01 Jan 1998  ·  doi:10.1159/000007939
The Prevalence of a Non-phospholipid-binding Form of β2-Glycoprotein I in Human Plasma
The Prevalence of a Non-phospholipid-binding Form of β2-Glycoprotein I in Human Plasma
Erica van Oort, Mariëlle Tempelman, Ronald Derksen, Philip de Groot, Daniëlle Horbach
Thrombosis and Haemostasis  ·  01 Jan 1998  ·  doi:10.1055/s-0037-1615360
Heterogeneity and Immunochemical Properties of Anti-β2-glycoprotein I Autoantibodies
Heterogeneity and Immunochemical Properties of Anti-β2-glycoprotein I Autoantibodies
V. Regnault, E. Hachulla, L. Darnige, B. Roussel, J. C. Bensa, J. Arvieux
Thrombosis and Haemostasis  ·  01 Jan 1998  ·  doi:10.1055/s-0037-1615218

1997

Relationship of two apolipoprotein B polymorphisms with serum lipoprotein and lipid levels in African blacks.
Relationship of two apolipoprotein B polymorphisms with serum lipoprotein and lipid levels in African blacks.
J L Anderson, C H Bunker, C E Aston, M I Kamboh
Human biology  ·  01 Dec 1997  ·  pubmed:9353975
The apolipoprotein E ϵ4 allele is not associated with psychiatric symptoms or extrapyramidal signs in probable Alzheimer s disease
The apolipoprotein E ϵ4 allele is not associated with psychiatric symptoms or extrapyramidal signs in probable Alzheimer's disease
O. L. Lopez, M. I. Kamboh, J. T. Becker, D. I. Kaufer, S. T. DeKosky
Neurology  ·  01 Sep 1997  ·  doi:10.1212/WNL.49.3.794
Molecular basis of the apolipoprotein H β 2 -glycoprotein I protein polymorphism
Molecular basis of the apolipoprotein H (β 2 -glycoprotein I) protein polymorphism
Dharambir K. Sanghera, Torsten Kristensen, Richard F. Hamman, M. I. Kamboh
Human Genetics  ·  19 Jun 1997  ·  doi:10.1007/s004390050465
Genetic Polymorphism of Paraoxonase and the Risk of Coronary Heart Disease
Genetic Polymorphism of Paraoxonase and the Risk of Coronary Heart Disease
Dharambir K. Sanghera, Nilmani Saha, Christopher E. Aston, M. Ilyas Kamboh
Arteriosclerosis, Thrombosis, and Vascular Biology  ·  01 Jun 1997  ·  doi:10.1161/01.ATV.17.6.1067
Mitochondrial versus nuclear admixture estimates demonstrate a past history of directional mating.
Mitochondrial versus nuclear admixture estimates demonstrate a past history of directional mating.
D A Merriwether, S Huston, S Iyengar, R Hamman, J M Norris, S M Shetterly, M I Kamboh, R E Ferrell
American journal of physical anthropology  ·  01 Feb 1997  ·  pubmed:9066897
Gender-specific nonrandom association between the α1-antichymotrypsin and apolipoprotein E polymorphisms in the general population and its implication for the risk of Alzheimer s disease
Gender-specific nonrandom association between the α1-antichymotrypsin and apolipoprotein E polymorphisms in the general population and its implication for the risk of Alzheimer's disease
M. Ilyas Kamboh, Dharambir K. Sanghera, Christopher E. Aston, Clareann H. Bunker, Richard F. Hamman, Robert E. Ferrell, Steven T. DeKosky
Genetic Epidemiology  ·  01 Jan 1997  ·  doi:10.1002/(SICI)1098-2272(1997)14:2<169::AID-GEPI6>3.0.CO;2-2

1996

Polygenic determinants of Alzheimer s disease: modulation of the risk by alpha-1-antichymotrypsin.
Polygenic determinants of Alzheimer's disease: modulation of the risk by alpha-1-antichymotrypsin.
S T DeKosky, C E Aston, M I Kamboh
Annals of the New York Academy of Sciences  ·  16 Dec 1996  ·  pubmed:8993481
Haplotype analysis of two APOA1 MspI polymorphisms in relation to plasma levels of Apo A-I and HDL-cholesterol
Haplotype analysis of two APOA1/MspI polymorphisms in relation to plasma levels of Apo A-I and HDL-cholesterol
M.Ilyas Kamboh, Christopher E. Aston, Cara M. Nestlerode, Andrea E. McAllister, Richard F. Hamman
Atherosclerosis  ·  01 Dec 1996  ·  doi:10.1016/S0021-9150(96)05966-7
Quantitative effects of the apolipoprotein E polymorphism in a biracial sample of 9 10-year-old girls
Quantitative effects of the apolipoprotein E polymorphism in a biracial sample of 9–10-year-old girls
D.K. Sanghera, R.E. Ferrell, C.E. Aston, A.E. McAllister, M.I. Kamboh, S.Y.S. Kimm
Atherosclerosis  ·  01 Sep 1996  ·  doi:10.1016/0021-9150(96)05891-1
Associations between dietary factors and serum lipids by apolipoprotein E polymorphism
Associations between dietary factors and serum lipids by apolipoprotein E polymorphism
JA Marshall, MI Kamboh, DH Bessesen, S Hoag, RF Hamman, RE Ferrell
The American Journal of Clinical Nutrition  ·  01 Jan 1996  ·  doi:10.1093/ajcn/63.1.87

1995

A4POE 4-associated Alzheimer s disease risk is modified by α1 antichymotrypsin polymorphism
A4POE*4-associated Alzheimer's disease risk is modified by α1–antichymotrypsin polymorphism
M. Ilyas Kamboh, Dharambir K. Sanghera, Robert E. Ferrell, Steven T. DeKosky
Nature Genetics  ·  01 Aug 1995  ·  doi:10.1038/ng0895-486
Apolipoprotein E polymorphism and susceptibility to Alzheimer s disease.
Apolipoprotein E polymorphism and susceptibility to Alzheimer's disease.
M I Kamboh
Human biology  ·  01 Apr 1995  ·  pubmed:7729825
Dementia among elderly apolipoprotein E type 4 4 homozygotes: A prospective study
Dementia among elderly apolipoprotein E type 4/4 homozygotes: A prospective study
Mary Ganguli, Jane A. Cauley, Steven T. Dekosky, M. Ilyas Kamboh
Genetic Epidemiology  ·  01 Jan 1995  ·  doi:10.1002/gepi.1370120308

1994

ApoA-IV polymorphism associated with myocardial infarction in obese NIDDM patients. The San Luis Valley Diabetes Study.
ApoA-IV polymorphism associated with myocardial infarction in obese NIDDM patients. The San Luis Valley Diabetes Study.
M Rewers, M I Kamboh, S Hoag, S M Shetterly, R E Ferrell, R F Hamman
Diabetes  ·  01 Dec 1994  ·  pubmed:7958503
Association of apolipoprotein a phenotypes in children with family history of premature coronary artery disease.
Association of apolipoprotein(a) phenotypes in children with family history of premature coronary artery disease.
S Islam, B Gutin, C Smith, F Treiber, M I Kamboh
Arteriosclerosis and thrombosis : a journal of vascular biology  ·  01 Oct 1994  ·  pubmed:7918311
Genetic characterization of American and Western Samoans.
Genetic characterization of American and Western Samoans.
R Deka, S T Mc Garvey, R E Ferrell, M I Kamboh, L M Yu, C E Aston, L Jin, R Chakraborty
Human biology  ·  01 Oct 1994  ·  pubmed:8001911
Genetic polymorphism of apolipoprotein A-IV in the chimpanzee: common deletion of a conserved 12-nucleotide tandem repeat.
Genetic polymorphism of apolipoprotein A-IV in the chimpanzee: common deletion of a conserved 12-nucleotide tandem repeat.
M I Kamboh, L J Kelly, Y I Ahn, R E Ferrell
Human biology  ·  01 Aug 1994  ·  pubmed:8088751
Role of common genetic polymorphisms in the LDL receptor gene in affecting plasma cholesterol levels in the general population.
Role of common genetic polymorphisms in the LDL receptor gene in affecting plasma cholesterol levels in the general population.
Y I Ahn, M I Kamboh, C E Aston, R E Ferrell, R F Hamman
Arteriosclerosis and Thrombosis: A Journal of Vascular Biology  ·  01 May 1994  ·  doi:10.1161/01.ATV.14.5.663
A common deletion polymorphism in the apolipoprotein A4 gene and its significance in lipid metabolism.
A common deletion polymorphism in the apolipoprotein A4 gene and its significance in lipid metabolism.
M I Kamboh, J S Friedlaender, Y I Ahn, R E Ferrell
Arteriosclerosis and Thrombosis: A Journal of Vascular Biology  ·  01 May 1994  ·  doi:10.1161/01.ATV.14.5.656
Hypervariable polymorphism of APO a in blacks and whites as reflected by phenotyping
Hypervariable polymorphism of APO(a) in blacks and whites as reflected by phenotyping
M.Ilyas Kamboh, Cara M. Svitko, Edward R. Williams, Robert E. Ferrell, William S. Pollitzer
Chemistry and Physics of Lipids  ·  01 Jan 1994  ·  doi:10.1016/0009-3084(94)90148-1

1993

Hemopexin: a unique genetic polymorphism in populations of African ancestry.
Hemopexin: a unique genetic polymorphism in populations of African ancestry.
M I Kamboh, C H Bunker, M U Nwankwo, R E Ferrell
Human biology  ·  01 Aug 1993  ·  pubmed:8406412
Apo E allele frequencies in younger age 42 50 vs older age 65 90 women
Apo E allele frequencies in younger (age 42–50) vs older (age 65–90) women
Jane A. Cauley, June E. Eichner, M. Ilyas Kamboh, Robert E. Ferrell, Lewis H. Kuller
Genetic Epidemiology  ·  01 Jan 1993  ·  doi:10.1002/gepi.1370100104
Apolipoprotein a : A comparison of isoforms identified by sodium dodecyl sulfate polyacrylamide gel electrophoresis or by sodium dodecyl sulfate agarose gel electrophoresis
Apolipoprotein (a): A comparison of isoforms identified by sodium dodecyl sulfate‐polyacrylamide gel electrophoresis or by sodium dodecyl sulfate‐agarose gel electrophoresis
Wendy Y. Craig, Sue E. Poulin, Thomas B. Ledue, M. Ilyas Kamboh
ELECTROPHORESIS  ·  01 Jan 1993  ·  doi:10.1002/elps.11501401165
Apolipoprotein polymorphisms and phenotypic variability in American Samoans: Preliminary data
Apolipoprotein polymorphisms and phenotypic variability in American Samoans: Preliminary data
Douglas E. Crews, James R. Bindon, Mohammad I. Kamboh
American Journal of Human Biology  ·  01 Jan 1993  ·  doi:10.1002/ajhb.1310050108

1992

Apolipoprotein H beta-2-glycoprotein I polymorphism in Asians.
Apolipoprotein H (beta-2-glycoprotein I) polymorphism in Asians.
N Saha, M I Kamboh, L J Kelly, R E Ferrell, J S Tay
Human biology  ·  01 Aug 1992  ·  pubmed:1644427
The impact of the apolipoprotein E polymorphism on the lipoprotein profile in insulin-dependent diabetes: The pittsburgh epidemiology of diabetes complications study IX
The impact of the apolipoprotein E polymorphism on the lipoprotein profile in insulin-dependent diabetes: The pittsburgh epidemiology of diabetes complications study IX
June E. Eichner, Robert E. Ferrell, Mohammad I. Kamboh, Lewis H. Kuller, Dorothy J. Becker, Allan L. Drash, Evan A. Stein, Trevor J. Orchard
Metabolism  ·  01 Apr 1992  ·  doi:10.1016/0026-0495(92)90066-J
Estimation of the frequency of isoform genotype discrepancies at the apolipoprotein E locus in heterozygotes for the isoforms
Estimation of the frequency of isoform–genotype discrepancies at the apolipoprotein E locus in heterozygotes for the isoforms
F. Mailly, P. Moll, B. A. Kottke, M. I. Kamboh, S. E. Humphries, R. E. Ferrell, Aravinda Chakravarti
Genetic Epidemiology  ·  01 Jan 1992  ·  doi:10.1002/gepi.1370090403
Genetic polymorphism of apolipoprotein H β sub 2 sub glycoprotein I in African blacks from the Ivory Coast
Genetic polymorphism of apolipoprotein H (β2‐glycoprotein I) in African blacks from the Ivory Coast
Hartwig Cleve, Ulrike Vogt, M. Ilyas Kamboh
ELECTROPHORESIS  ·  01 Jan 1992  ·  doi:10.1002/elps.11501301185
Molecular basis of a unique African Variant A IV 5 of human apolipoprotein A IV and its significance in lipid metabolism
Molecular basis of a unique African Variant (A‐IV 5) of human apolipoprotein A‐IV and its significance in lipid metabolism
M. Ilyas Kamboh, Edward R. Williams, John C. Law, Christopher E. Aston, Clareann H. Bunker, Robert E. Ferrell, William S. Pollitzer
Genetic Epidemiology  ·  01 Jan 1992  ·  doi:10.1002/gepi.1370090602
Two common polymorphisms in the APO A IV coding gene: Their evolution and linkage disequilibrium
Two common polymorphisms in the APO A‐IV coding gene: Their evolution and linkage disequilibrium
M. Ilyas kamboh, Richard F. Hamman, Robert E. Ferrell, John J. Mulvihill
Genetic Epidemiology  ·  01 Jan 1992  ·  doi:10.1002/gepi.1370090503
Caucasian genes in American blacks: new data.
Caucasian genes in American blacks: new data.
R Chakraborty, M I Kamboh, M Nwankwo, R E Ferrell
American journal of human genetics  ·  01 Jan 1992  ·  pubmed:1729885

1991

The gender-specific apolipoprotein E genotype influence on the distribution of lipids and apolipoproteins in the population of Rochester, MN. I. Pleiotropic effects on means and variances.
The gender-specific apolipoprotein E genotype influence on the distribution of lipids and apolipoproteins in the population of Rochester, MN. I. Pleiotropic effects on means and variances.
S L Reilly, R E Ferrell, B A Kottke, M I Kamboh, C F Sing
American journal of human genetics  ·  01 Dec 1991  ·  pubmed:1842218
Genetic studies of human apolipoproteins. XX. Genetic polymorphism of apolipoprotein J and its impact on quantitative lipid traits in normolipidemic subjects.
Genetic studies of human apolipoproteins. XX. Genetic polymorphism of apolipoprotein J and its impact on quantitative lipid traits in normolipidemic subjects.
M I Kamboh, J A Harmony, B Sepehrnia, M Nwankwo, R E Ferrell
American journal of human genetics  ·  01 Dec 1991  ·  pubmed:1746550
Expressed hypervariable polymorphism of apolipoprotein a .
Expressed hypervariable polymorphism of apolipoprotein (a).
M I Kamboh, R E Ferrell, B A Kottke
American journal of human genetics  ·  01 Nov 1991  ·  pubmed:1928089
Effects of polymorphisms in apolipoproteins E, A-IV, and H on quantitative traits related to risk for cardiovascular disease.
Effects of polymorphisms in apolipoproteins E, A-IV, and H on quantitative traits related to risk for cardiovascular disease.
J Kaprio, R E Ferrell, B A Kottke, M I Kamboh, C F Sing
Arteriosclerosis and Thrombosis: A Journal of Vascular Biology  ·  01 Sep 1991  ·  doi:10.1161/01.ATV.11.5.1330
Genetic studies of human apolipoproteins. XVIII. Apolipoprotein polymorphisms in Australian Aborigines.
Genetic studies of human apolipoproteins. XVIII. Apolipoprotein polymorphisms in Australian Aborigines.
M I Kamboh, S W Serjeantson, R E Ferrell
Human biology  ·  01 Apr 1991  ·  pubmed:2019410
Genetic studies of human apolipoproteins. XVII: Population genetics of apolipoprotein polymorphisms in American Samoa
Genetic studies of human apolipoproteins. XVII: Population genetics of apolipoprotein polymorphisms in American Samoa
Douglas E. Crews, Mohammad I. Kamboh, James R. Bindon, Robert E. Ferrell
American Journal of Physical Anthropology  ·  01 Feb 1991  ·  doi:10.1002/ajpa.1330840206
A Simplified Method for Screening the Apolipoprotein E Polymorphism
A Simplified Method for Screening the Apolipoprotein E Polymorphism
J.E. Eichner, L.H. Kuller, R.E. Ferrell, M.I. Kamboh
Human Heredity  ·  01 Jan 1991  ·  doi:10.1159/000153976
Genetic studies of human apolipoproteins. XVI. APOE polymorphism and cholesterol levels in the Mayans of the Yucatan Peninsula, Mexico
Genetic studies of human apolipoproteins. XVI. APOE polymorphism and cholesterol levels in the Mayans of the Yucatan Peninsula, Mexico
M. I. Kamboh, K. M. Weiss, R. E. Ferrell
Clinical Genetics  ·  01 Jan 1991  ·  doi:10.1111/j.1399-0004.1991.tb02981.x
Genetic studies of human apolipoproteins. XIX. Apolipoproteins E and A-IV phenotyping from whole blood and blood stains.
Genetic studies of human apolipoproteins. XIX. Apolipoproteins E and A-IV phenotyping from whole blood and blood stains.
L J Kelly, M I Kamboh, R E Ferrell
Applied and theoretical electrophoresis : the official journal of the International Electrophoresis Society  ·  01 Jan 1991  ·  pubmed:1932210

1990

Alpha2-HS glycoprotein phenotypes and quantitative hormone and bone measures in postmenopausal women
Alpha2-HS glycoprotein phenotypes and quantitative hormone and bone measures in postmenopausal women
June E. Eichner, Christopher A. Friedrich, Jane A. Cauley, Mohammad I. Kamboh, James P. Gutai, Lewis H. Kuller, Robert E. Ferrell
Calcified Tissue International  ·  01 Dec 1990  ·  doi:10.1007/BF02555885
An Improved Method for Complement Subcomponent C1R Typing
An Improved Method for Complement Subcomponent C1R Typing
MI Kamboh, RE Ferrell
Journal of Forensic Sciences  ·  01 Jan 1990  ·  doi:10.1520/JFS12817J
Highly polymorphic apolipoprotein A-IV locus in the baboon.
Highly polymorphic apolipoprotein A-IV locus in the baboon.
RE Ferrell, B Sepehrnia, MI Kamboh, JL VandeBerg
Journal of Lipid Research  ·  01 Jan 1990  ·  doi:10.1016/S0022-2275(20)42767-1
Genetic studies of human apolipoproteins: XIV. A simple agarose isoelectric focusing gel method for apolipoprotein E phenotyping
Genetic studies of human apolipoproteins: XIV. A simple agarose isoelectric focusing gel method for apolipoprotein E phenotyping
Mohammad I. Kamboh, Lori J. Kelly, Robert E. Ferrell
ELECTROPHORESIS  ·  01 Jan 1990  ·  doi:10.1002/elps.1150110408
Genetic studies of human apolipoproteins: XII. Population genetics of apolipoproteins in Papua New Guinea
Genetic studies of human apolipoproteins: XII. Population genetics of apolipoproteins in Papua New Guinea
M. I. Kamboh, Kuldeep K. Bhatia, R. E. Ferrell
American Journal of Human Biology  ·  01 Jan 1990  ·  doi:10.1002/ajhb.1310020103

1989

Genetic studies of human apolipoproteins. X. The effect of the apolipoprotein E polymorphism on quantitative levels of lipoproteins in Nigerian blacks.
Genetic studies of human apolipoproteins. X. The effect of the apolipoprotein E polymorphism on quantitative levels of lipoproteins in Nigerian blacks.
B Sepehrnia, M I Kamboh, L L Adams-Campbell, C H Bunker, M Nwankwo, P P Majumder, R E Ferrell
American journal of human genetics  ·  01 Oct 1989  ·  pubmed:2491016
Genetic studies of human apolipoproteins. XI. The effect of the apolipoprotein C-II polymorphism on lipoprotein levels in Nigerian blacks.
Genetic studies of human apolipoproteins. XI. The effect of the apolipoprotein C-II polymorphism on lipoprotein levels in Nigerian blacks.
B Sepehrnia, M I Kamboh, L L Adams-Campbell, C H Bunker, M Nwankwo, P P Majumder, R E Ferrell
Journal of Lipid Research  ·  01 Sep 1989  ·  doi:10.1016/S0022-2275(20)38260-2
Genetic studies of human apolipoproteins. IX. Apolipoprotein D polymorphism and its relation to serum lipoprotein lipid levels.
Genetic studies of human apolipoproteins. IX. Apolipoprotein D polymorphism and its relation to serum lipoprotein lipid levels.
M I Kamboh, J J Albers, P P Majumder, R E Ferrell
American journal of human genetics  ·  01 Jul 1989  ·  pubmed:2741945
Genetic studies of human apolipoproteins. VIII. Role of the apolipoprotein H polymorphism in relation to serum lipoprotein concentrations.
Genetic studies of human apolipoproteins. VIII. Role of the apolipoprotein H polymorphism in relation to serum lipoprotein concentrations.
B Sepehrnia, M I Kamboh, L L Adams-Campbell, C H Bunker, M Nwankwo, P P Majumder, R E Ferrell
Human genetics  ·  01 May 1989  ·  pubmed:2722186
Phenotypic effects of apolipoprotein structural variation on lipid profiles. I. APO H and quantitative lipid measures in the healthy women study
Phenotypic effects of apolipoprotein structural variation on lipid profiles. I. APO H and quantitative lipid measures in the healthy women study
J. E. Eichner, L. H. Kuller, M. I. Kamboh, R. E. Ferrell, G. P. Vogler, D. C. Rao
Genetic Epidemiology  ·  01 Jan 1989  ·  doi:10.1002/gepi.1370060202
Genetic studies of low abundance human plasma proteins: X. Coagulation factor XIIIB variants in blacks
Genetic studies of low‐abundance human plasma proteins: X. Coagulation factor XIIIB variants in blacks
Mohammad I. Kamboh, Robert E. Ferrell
ELECTROPHORESIS  ·  01 Jan 1989  ·  doi:10.1002/elps.1150100113
Genetic studies of low-abundance human plasma proteins. XIII. Population genetics of C1R complement subcomponent and description of new variants.
Genetic studies of low-abundance human plasma proteins. XIII. Population genetics of C1R complement subcomponent and description of new variants.
M I Kamboh, L A Lyons, R E Ferrell
American journal of human genetics  ·  01 Jan 1989  ·  pubmed:2535773
Genetic studies of human apolipoproteins. VI. Common polymorphism of apolipoprotein E in blacks.
Genetic studies of human apolipoproteins. VI. Common polymorphism of apolipoprotein E in blacks.
M I Kamboh, B Sepehrnia, R E Ferrell
Disease markers  ·  01 Jan 1989  ·  pubmed:2714047
Alpha-1-antitrypsin PI and vitamin-D binding globulin GC phenotypes in rheumatoid arthritis: absence of an association.
Alpha-1-antitrypsin (PI) and vitamin-D binding globulin (GC) phenotypes in rheumatoid arthritis: absence of an association.
L E Kahl, M I Kamboh, S Decroo, R E Ferrell
Disease markers  ·  01 Jan 1989  ·  pubmed:2786461
Frequent recombination is observed in the distal end of the long arm of chromosome 14
Frequent recombination is observed in the distal end of the long arm of chromosome 14
Yusuke Nakamura, Mark Lathrop, Peter O’Connell, Mark Leppert, M.I. Kamboh, Jean-Marc Lalouel, Ray White
Genomics  ·  01 Jan 1989  ·  doi:10.1016/0888-7543(89)90317-0
Genetic Studies of Low-Abundance Human Plasma Proteins
Genetic Studies of Low-Abundance Human Plasma Proteins
L.A. Lyons, M.I. Kamboh, R.E. Ferrell
Complement and Inflammation  ·  01 Jan 1989  ·  doi:10.1159/000463078

1988

Genetic studies of human apolipoproteins. VII. Population distribution of polymorphisms of apolipoproteins A-I, A-II, A-IV, C-II, E, and H in Nigeria.
Genetic studies of human apolipoproteins. VII. Population distribution of polymorphisms of apolipoproteins A-I, A-II, A-IV, C-II, E, and H in Nigeria.
B Sepehrnia, M I Kamboh, L L Adams-Campbell, M Nwankwo, R E Ferrell
American journal of human genetics  ·  01 Dec 1988  ·  pubmed:3143263
Genetic studies of low-abundance human plasma proteins. IX. A new allele at the complement subcomponent C1R structural locus.
Genetic studies of low-abundance human plasma proteins. IX. A new allele at the complement subcomponent C1R structural locus.
M I Kamboh, L Lyons, R E Ferrell
Human genetics  ·  01 Dec 1988  ·  pubmed:3198132
Genetic studies of human apolipoproteins. V. A novel rapid procedure to screen apolipoprotein E polymorphism
Genetic studies of human apolipoproteins. V. A novel rapid procedure to screen apolipoprotein E polymorphism
M I Kamboh, R E Ferrell, B Kottke
Journal of Lipid Research  ·  01 Nov 1988  ·  doi:10.1016/S0022-2275(20)38431-5
Genetic studies of human apolipoproteins. IV. Structural heterogeneity of apolipoprotein H beta 2-glycoprotein I .
Genetic studies of human apolipoproteins. IV. Structural heterogeneity of apolipoprotein H (beta 2-glycoprotein I).
M I Kamboh, R E Ferrell, B Sepehrnia
American journal of human genetics  ·  01 Mar 1988  ·  pubmed:3348213
Genetic studies of low abundance human plasma proteins VIII. Inherited structural variation in antithrombin III
Genetic studies of low abundance human plasma proteins VIII. Inherited structural variation in antithrombin III
M. I. KAMBOH, R. E. FERRELL
Annals of Human Genetics  ·  01 Jan 1988  ·  doi:10.1111/j.1469-1809.1988.tb01074.x

1987

Genetic studies of low-abundance human plasma proteins. VI. Polymorphism of hemopexin.
Genetic studies of low-abundance human plasma proteins. VI. Polymorphism of hemopexin.
M I Kamboh, R E Ferrell
American journal of human genetics  ·  01 Oct 1987  ·  pubmed:3661561
Genetic studies of low-abundance human plasma proteins. V. Evidence for a second orosomucoid structural locus ORM2 expressed in plasma.
Genetic studies of low-abundance human plasma proteins. V. Evidence for a second orosomucoid structural locus (ORM2) expressed in plasma.
M H Escallon, R E Ferrell, M I Kamboh
American journal of human genetics  ·  01 Sep 1987  ·  pubmed:3631077
Genetic studies of human apolipoproteins. I. Polymorphism of apolipoprotein A-IV.
Genetic studies of human apolipoproteins. I. Polymorphism of apolipoprotein A-IV.
M I Kamboh, R E Ferrell
American journal of human genetics  ·  01 Aug 1987  ·  pubmed:3618592
GENETIC STUDIES OF LOW ABUNDANCE HUMAN PLASMA PROTEINS: VII. HETEROGENEITY OF THE C1, SUBCOMPONENT OF THE FIRST COMPLEMENT COMPONENT
GENETIC STUDIES OF LOW‐ABUNDANCE HUMAN PLASMA PROTEINS: VII. HETEROGENEITY OF THE C1, SUBCOMPONENT OF THE FIRST COMPLEMENT COMPONENT
M. I. Kamboh, R. E. Ferrell
International Journal of Immunogenetics  ·  01 Aug 1987  ·  doi:10.1111/j.1744-313X.1987.tb00385.x
Analysis of the reported relationship between thyroxin-binding globulin and alpha-1-antitrypsin heterogeneity
Analysis of the reported relationship between thyroxin-binding globulin and alpha-1-antitrypsin heterogeneity
Mohammad I. Kamboh, Robert E. Ferrell
Biochemical Genetics  ·  01 Feb 1987  ·  doi:10.1007/BF00498960
Human Transferrin Polymorphism
Human Transferrin Polymorphism
M.I. Kamboh, R.E. Ferrell
Human Heredity  ·  01 Jan 1987  ·  doi:10.1159/000153680

1986

Genetic studies of low abundance human plasma proteins. II. Population genetics of coagulation factor XIIIB.
Genetic studies of low abundance human plasma proteins. II. Population genetics of coagulation factor XIIIB.
M I Kamboh, R E Ferrell
American journal of human genetics  ·  01 Dec 1986  ·  pubmed:3467588
Genetic studies of low abundance human plasma proteins. III. Polymorphism of the C1R subcomponent of the first complement component.
Genetic studies of low abundance human plasma proteins. III. Polymorphism of the C1R subcomponent of the first complement component.
M I Kamboh, R E Ferrell
American journal of human genetics  ·  01 Dec 1986  ·  pubmed:3026176
Genetic Studies in Familial Fibrosing Alveolitis
Genetic Studies in Familial Fibrosing Alveolitis
A.W. Musk, P.J. Zilko, P. Manners, P.H. Kay, M.I. Kamboh
Chest  ·  01 Feb 1986  ·  doi:10.1378/chest.89.2.206

1985

Heterogeneity of factor XIIIB: A new method for the determination of factor XIIIB phenotypes by isoelectric focusing in 6 scp M scp urea
Heterogeneity of factor XIIIB: A new method for the determination of factor XIIIB phenotypes by isoelectric focusing in 6 M urea
Mohammad I. Kamboh
ELECTROPHORESIS  ·  01 Jan 1985  ·  doi:10.1002/elps.1150060408

1984

Genetic polymorphism of thyroxin-binding globulin TBG in the Pacific area.
Genetic polymorphism of thyroxin-binding globulin (TBG) in the Pacific area.
M I Kamboh, C Kirwood
American journal of human genetics  ·  01 May 1984  ·  pubmed:6428221
Re-evaluation of the proposed interrelationship between thyroxine-binding globulin TBG and α1-antitrypsin PI
Re-evaluation of the proposed interrelationship between thyroxine-binding globulin (TBG) and α1-antitrypsin (PI)
Mohammad I. Kamboh, Philip G. Board, Carole Kirwood
Clinica Chimica Acta  ·  01 May 1984  ·  doi:10.1016/0009-8981(84)90193-1
Genetic studies of PGM1 subtypes: population data from the Asian-Pacific area
Genetic studies of PGM1 subtypes: population data from the Asian-Pacific area
M.I. Kamboh, R.L. Kirk
Annals of Human Biology  ·  01 Jan 1984  ·  doi:10.1080/03014468400007081
Population genetic studies of PI, Tf, Gc and PGM1 subtypes among various caste groups in North India.
Population genetic studies of PI, Tf, Gc and PGM1 subtypes among various caste groups in North India.
M I Kamboh
Acta anthropogenetica  ·  01 Jan 1984  ·  pubmed:6242530

1983